电脑桌面
添加小米粒文库到电脑桌面
安装后可以在桌面快捷访问

有理数专项练习350题(有答案)VIP免费

有理数专项练习350题(有答案)_第1页
1/72
有理数专项练习350题(有答案)_第2页
2/72
有理数专项练习350题(有答案)_第3页
3/72
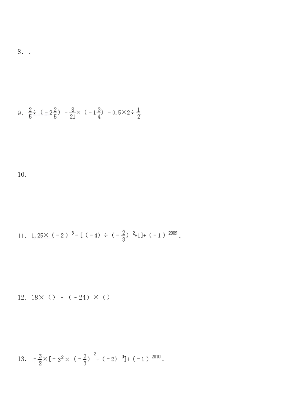
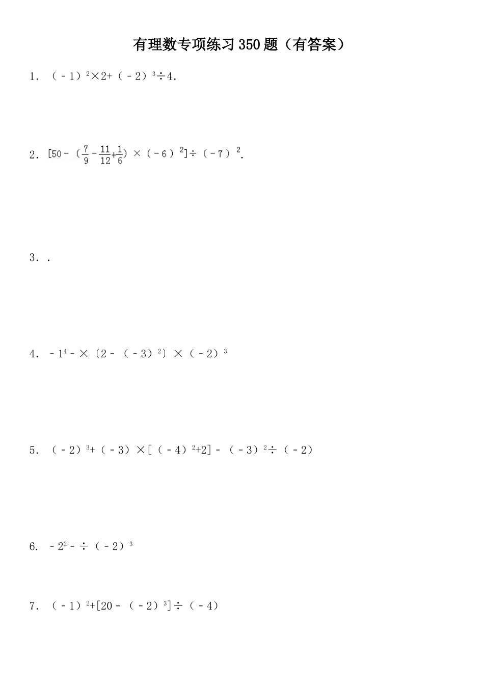
有理数专项练习350题(有答案)1.(﹣1)2×2+(﹣2)3÷4.2..3..4.﹣14﹣×〔2﹣(﹣3)2〕×(﹣2)35.(﹣2)3+(﹣3)×[(﹣4)2+2]﹣(﹣3)2÷(﹣2)6.﹣22﹣÷(﹣2)37.(﹣1)2+[20﹣(﹣2)3]÷(﹣4)8..9..10.11..12.18×()﹣(﹣24)×()13..14.15.﹣32﹣(﹣3)2×(﹣2)﹣[(﹣2)×(﹣1)]216.[2832003+(﹣283)2003﹣10]×(﹣2)÷×(﹣1)200217.18.﹣14﹣(1﹣)÷3×|3﹣(﹣3)2|.19.(﹣2)2+{6﹣(﹣3)×2}÷4﹣5÷×20.21.﹣32÷3+(﹣)×12﹣(﹣1)2010;22..23.;24.;25.;26..27..28.29.;30.;31..32..;33.﹣32+(﹣3)2+(﹣5)2×(﹣)﹣0.32÷|﹣0.9|.34.(﹣2×5)3﹣(﹣1)×(﹣)2﹣(﹣)2.35.1×﹣(﹣)×2+(﹣)÷136.﹣22+(﹣2)4×()3﹣|0.28|÷(﹣)237.(﹣+)×18+3.95×6﹣1.45×6.38..39..40.[(﹣1)2005+(﹣﹣)×24]÷|﹣32+5|.41.[2﹣(+﹣)×24]÷5×(﹣1)200942.﹣14﹣[﹣2+(1﹣0.2÷)×(﹣3)]43..44..45.﹣5+[﹣﹣(1﹣0.2÷)×(﹣3)2]46.﹣10+8÷(﹣2)2﹣(﹣4)×(﹣3);47.;48.3×(﹣1)10+(﹣22)×|(﹣2)3|÷4÷2﹣|(﹣3)2|÷(﹣3)2×(﹣1)11;49.;50..51.[1]×24]÷(﹣5);52.(﹣10)+8×(﹣2)2﹣(﹣4)×(﹣3);53.﹣0.252÷(﹣0.5)3+(﹣)×(﹣1)10;54.﹣3×(﹣)2﹣4×(1﹣)﹣8÷()2;55.(﹣2)3﹣1×(﹣)﹣(﹣2)×(﹣1)×(﹣4).56.;57.;58.﹣24+|6﹣10|﹣3×(﹣1)2009.59.|﹣1.3|+;60.(﹣13)+(+12)+(﹣7)+(+38);61.;62.(+163)﹣[(+63)+(﹣259)+(﹣41)].63.;64.;65..66.﹣22﹣(﹣22)+(﹣2)2+(﹣2)3﹣3267.22+(﹣4)+(﹣2)+4;68.(﹣8)+(+0.25)﹣(﹣9)+(﹣);69.;70.(﹣)÷(﹣﹣);71.﹣9÷;72.﹣14﹣×[2﹣(﹣3)2].73.74.75.76.﹣14×[﹣32×﹣2]×(﹣).77.﹣32﹣(﹣3)2+32×(﹣1)2006;78..79..80.81.82.33×(﹣2)2﹣(﹣3)3×(﹣2)383.84..85.(﹣3)÷(﹣1)×0.75×|﹣2|÷|﹣3|.86.﹣1+3﹣5+7﹣9+11﹣…﹣1997+1999;87.11+12﹣13﹣14+15+16﹣17﹣18+…+99+100;88.1991×1999﹣1990×2000;89.4726342+4726352﹣472633×472635﹣472634×472636;90.91.1+4+7+…+244;92.1+93.1.94.﹣22﹣(﹣1)2001×(﹣)÷+(﹣3)295.;96.97.98.﹣5﹣22÷[(﹣)2+3×(﹣)]÷(﹣22)99.(﹣3)+(+2)﹣(+2)﹣(﹣7);100.﹣23÷×;101.[﹣+﹣﹣(﹣)]×(﹣36);102.(+)÷(﹣)﹣×(﹣1);103.﹣14﹣(1﹣0.5)××[2﹣(﹣3)2].104.(2﹣3+1)÷(﹣1).105.+++…+.106.﹣14+〔1﹣(1﹣0.5×)〕×|2﹣(﹣3)2|.107.108.﹣12008﹣[5×(﹣2)﹣(﹣4)2÷(﹣8)]109.110.;111.[2﹣(﹣3)2]×[(﹣1)2008﹣(1﹣0.5×)]112.113.0﹣21114.115.116.﹣23÷×(﹣)2+(﹣0.8)×5×(﹣)117.﹣32+5×(﹣)﹣(﹣4)2÷(﹣8)118.;119..120.﹣16;121.﹣122.﹣0.252÷÷(﹣1)100+(1+2﹣3.75)×12123.124.125.2﹣3﹣5+(﹣3)126.25﹣(﹣+﹣)÷127.﹣22+(﹣3)×[(﹣4)2+(﹣2)3]﹣(﹣3)2÷(﹣2)128.(﹣5)﹣(+3)+(﹣9)﹣(﹣7)+;129.10﹣23+32﹣17﹣21+45;130.(﹣3)+(+2)﹣(+2)﹣(﹣7);131.﹣9.2﹣(7.1)﹣(﹣3)+6+(+2.9);132.3.6+41.8﹣12﹣11﹣51;133..134.[212﹣(38+16﹣34)×24]÷5×(﹣1)2001135.136.;137.()×(﹣36).138.(﹣20)+(+3)﹣(﹣5)﹣(+7);139.(+6)+(﹣5)﹣(﹣4)+(+2)+(﹣1)﹣(+1);140.﹣13×﹣0.34×+×(﹣13)﹣×0.34;141.(﹣)×(﹣0.25)×(﹣5)×(﹣4)3;142.(﹣3)3÷2×+4﹣2×(﹣);143.﹣16﹣(0.5﹣)÷×[﹣2﹣(﹣3)3]﹣|﹣0.52|.144.0﹣14﹣(﹣1)+(﹣1.95)3×0.5×0﹣|﹣5|+5.145..146.1+.147.;148..149.150.[53﹣4×(﹣5)2﹣(﹣1)10]÷(﹣24﹣24+24).151.﹣32+27÷(﹣3)2﹣(﹣)2×|﹣22|﹣(﹣1)2007152.;153....

1、当您付费下载文档后,您只拥有了使用权限,并不意味着购买了版权,文档只能用于自身使用,不得用于其他商业用途(如 [转卖]进行直接盈利或[编辑后售卖]进行间接盈利)。
2、本站所有内容均由合作方或网友上传,本站不对文档的完整性、权威性及其观点立场正确性做任何保证或承诺!文档内容仅供研究参考,付费前请自行鉴别。
3、如文档内容存在违规,或者侵犯商业秘密、侵犯著作权等,请点击“违规举报”。

碎片内容

有理数专项练习350题(有答案)

您可能关注的文档

确认删除?
VIP
微信客服
  • 扫码咨询
会员Q群
  • 会员专属群点击这里加入QQ群
客服邮箱
回到顶部