电脑桌面
添加小米粒文库到电脑桌面
安装后可以在桌面快捷访问

实心轮胎参数

实心轮胎参数_第1页
1/6
实心轮胎参数_第2页
2/6
实心轮胎参数_第3页
3/6
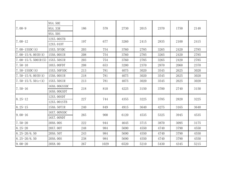
驱动轮转向轮驱动轮转向轮300-55x2.15BDT85274450335390290335350-55x3.0SPDT103302565420495365420400-88X3.00DDT116418104077090567077012X300DDT12X300DSDC8X300DTB8X300DDT500-99X350DDT14149816551225144010651225570-99X400EDT1464981655122514401065122515X4.50ESDC15X4.50EDT9X4.00ET9X4.00EDT15X4.50ESDC15X4.50EDT10X5.00FTB10X5.00FDT182595247018302145159018302095162676252516553420301707106.00-156.50-102455182020951770150528305.5-15600-9187021951625187013101505500-81374721540114013359901140最大允许负荷(KG)工业车辆450-1212655316751240146010801240实 心 胎 参 数 表10KM/H25KM/H10KM/H轮胎规格适用轮辋最大断面(宽)最大外径叉车9X4.50E9X4.33R9X4.50S12X5.00STB12X5.01DT7.00-15SDC(4)15X5.5FSDC203754376027853265242027857.00-15/6.00IR(4)15X6.00SIR208754376027853265242027857.00-15/5.500IR(5) 15X5.50SIR203754376027853265242027857.50-1010X5.00FDT208653320023702870206023707.50-15SDC(4)15X5.50FSDC213781407530203545262530207.50-15/6.00IR(4)15X6.00SIR218781407530203545262530207.50-15/5.50ir(4)15X5.50SIR2137814075302035452625302016X6.00GSSDC16X6.00GSDT12X5.00SDT12X5.001STB8.25-1515X6.50TIR2408494915364042753165364016X7.00NSDC16X7.00NDT7.50-2020X6.00S222944464537153870309531758.25-2020X7.00T248984569045504740379045508.25-20/6.5020X6.50T243984569045504740379045508.25-20/6.5020X6.00S238984569045504740379045509.00-2020X8.0026710296520521054304345521545352659006120453553253945315022774443553225378528203225218810422531503700274019767732602415283521002415578273020152370175021481867.00-97.00-127.50-168.25-129.00-1610.00-2020X8.00V28110547375590061454915590011.00-2020X7.50V29610858015641066755340641012.00-2020X8.50V32411259340747077806225747012.00-2424X8.50324122610320825586006880825513.00-2424X8.50V344127011750940067957835940014.00-2424X10.00WT38613431461011690121809740116908X3.00DTB8X3.01DDT8X4.33RTB8X4.34RTBDT8X4.35DT8X4.33RTB8X4.33RDT8X4.25DT9X6.00ETB9X6.00ETB10X6.50FTB10X6.50FDT22X8-1212X5.00SDT2095592900223025201940223012X8.00GTB12X8.00GDT28X8-15/6.5015X6.50TIR2097113700284532202476284528X9-1515X7.00TIR228718396530503445265030503460261686450034603915301021352325953400261529602275261520953827752135241018551175179467207515951800138515951564251530117513251020123385108583594572583527X10-1221X8-923X9-1015X4.1/4-8-3.016X6-8/4.3318X7-82653356159809801675146512051495995910业车辆20KM/H2225222522251895241524152415291029103565356535654085363025202580161219304620502058506465736594501785227524402770170520959401275665

1、当您付费下载文档后,您只拥有了使用权限,并不意味着购买了版权,文档只能用于自身使用,不得用于其他商业用途(如 [转卖]进行直接盈利或[编辑后售卖]进行间接盈利)。
2、本站所有内容均由合作方或网友上传,本站不对文档的完整性、权威性及其观点立场正确性做任何保证或承诺!文档内容仅供研究参考,付费前请自行鉴别。
3、如文档内容存在违规,或者侵犯商业秘密、侵犯著作权等,请点击“违规举报”。

碎片内容

实心轮胎参数

您可能关注的文档

确认删除?
VIP
微信客服
  • 扫码咨询
会员Q群
  • 会员专属群点击这里加入QQ群
客服邮箱
回到顶部