电脑桌面
添加小米粒文库到电脑桌面
安装后可以在桌面快捷访问

对称问题经典例题

对称问题经典例题_第1页
1/8
对称问题经典例题_第2页
2/8
对称问题经典例题_第3页
3/8
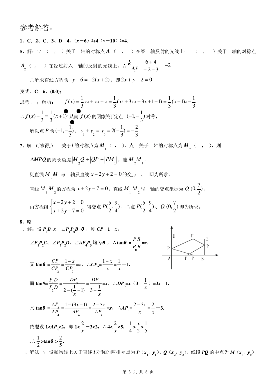
第 1 页 共 8 页 对称问题经典例题 一、要点梳理 1. 对称问题的核心是点关于点的中心对称和点关于直线的轴对称,要充分利用转化的思想将问题转化为这两类对称中的一种加以处理. 2.解决最值问题最常用的方法是目标函数法和几何法。 3.求对称曲线的常用思想方法:代入转移法 4.许多问题中都隐含着对称性,要注意挖掘、充分利用对称变换来解决,如角平分线、线段中垂线、光线反射等 二、基础练习 1、已知圆 C 与圆(x-1)2+y2=1 关于直线 y=-x 对称,则圆 C 的方程为 ( ) A.(x+1)2+y2=1 B.x2+y2=1 C.x2+(y+1)2=1 D.x2+(y-1)2=1 2、方程|2x+y|+|2x-y|=4 表示的曲线曲线 ( ) A.关于 x 轴对称但不关于 y 轴对称 B.关于 y 轴对称但不关于 x 轴对称 C.关于原点对称 D.以上都不对 3、函数 y=-ex 的图象 ( ) A.与 y=ex 的图象关于 y 轴对称 B.与 y=ex 的图象关于坐标原点对称 C.与xye的图象关于 y 轴对称 D.与xye的图象关于坐标原点对称 4、曲线 x2+4y2=4 关于点 M(3,5)对称的曲线方程为___________. 5、光线从点 A(-3,4)发出,经过 x 轴反射,再经过 y 轴反射,光线经过点 B(-2,6),求射入 y 轴后的反射线的方程。 变式:已知直线 l1: x+my+5=0 和直线 l2:x+ny+P=0,则 l1、l2 关于 y 轴对称的充要条件是( ) A、npm 5 B、p=-5 C、m=-n 且 p= -5 D、nm11且 p=-5 6. 直线0632 yx交 x、y 轴于 A、B 两点,试在直线xy上求一点 P,使BPAP11最小,则 P 点的坐标是_______ 思考、已知函数321( )3f xxxx的图象 C 上存在一定点 P 满足:若过点 P 的直线l 与曲线 C 交于不同于 P的两点1122( ,),(,)M x yN x y,且恒有12yy为定值0y ,则0y 的值为( ) A. 13 B. 23 C. 43 D. 2 7、已知点 M(3,5),在直线:022yx和 y轴上各找一点 P和 Q,使 MPQ的周长最小。 8、在直线 :90l xy上任取一点P,过点 P 且以椭圆221123xy 的焦点为焦点作椭圆。问:点 P 在何处时,所作椭圆的长轴最短?并求具有最短长轴的椭圆的方程。 9、已知长方形的四个顶点 A(0,0)、B(2,0)、C(2,1)和 D(0,1),一质点从 AB 的中点 P0 沿与 AB 夹角为θ 的方向射到 BC 上的点 P1 后,依次反射到 CD、DA 和 AB 上的点 P2...

1、当您付费下载文档后,您只拥有了使用权限,并不意味着购买了版权,文档只能用于自身使用,不得用于其他商业用途(如 [转卖]进行直接盈利或[编辑后售卖]进行间接盈利)。
2、本站所有内容均由合作方或网友上传,本站不对文档的完整性、权威性及其观点立场正确性做任何保证或承诺!文档内容仅供研究参考,付费前请自行鉴别。
3、如文档内容存在违规,或者侵犯商业秘密、侵犯著作权等,请点击“违规举报”。

碎片内容

对称问题经典例题

您可能关注的文档

确认删除?
VIP
微信客服
  • 扫码咨询
会员Q群
  • 会员专属群点击这里加入QQ群
客服邮箱
回到顶部