电脑桌面
添加小米粒文库到电脑桌面
安装后可以在桌面快捷访问

八年级下册数学《二次根式》单元测试题及答案

八年级下册数学《二次根式》单元测试题及答案_第1页
1/15
八年级下册数学《二次根式》单元测试题及答案_第2页
2/15
八年级下册数学《二次根式》单元测试题及答案_第3页
3/15
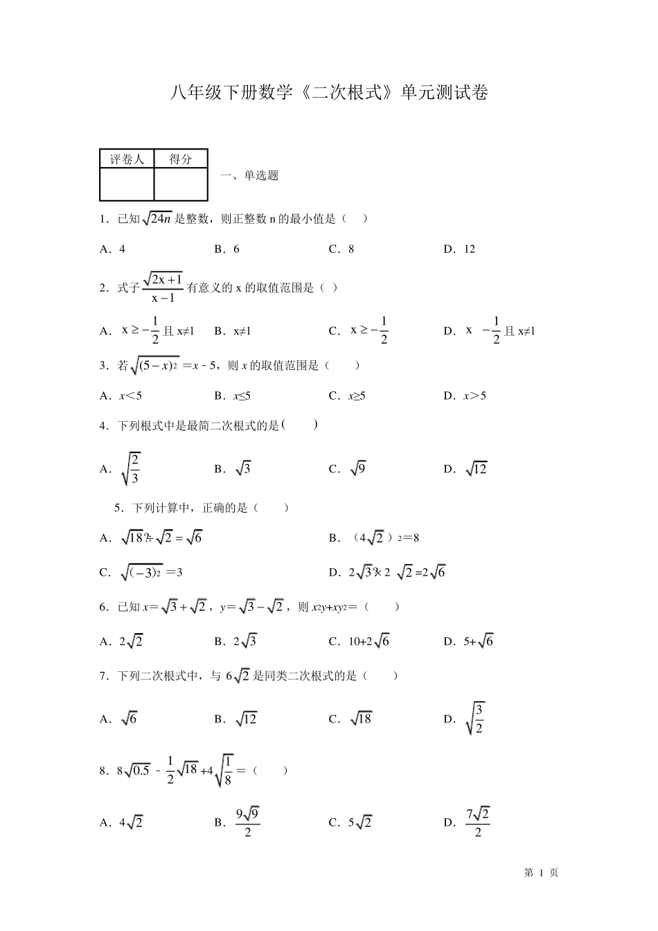
第 1 页 八年级下册数学《二次根式》单元测试卷 评卷人 得分 一、单选题 1.已知24n 是整数,则正整数n的最小值是( ) A.4 B.6 C.8 D.12 2.式子2x 1x 1有意义的 x的取值范围是( ) A.1x2 且 x≠1 B.x≠1 C.1x2  D.1x> 2且 x≠1 3.若2(5)x=x﹣5,则x的取值范围是( ) A.x<5 B.x≤5 C.x≥5 D.x>5 4.下列根式中是最简二次根式的是( ) A.23 B. 3 C. 9 D. 12 5.下列计算中,正确的是( ) A. 18?26 B.(4 2 )2=8 C.23()=3 D.2 3? 2 2 =2 6 6.已知 x=32,y=32,则 x2y+xy2=( ) A.2 2 B.2 3 C.10+2 6 D.5+ 6 7.下列二次根式中,与 6 2 是同类二次根式的是( ) A. 6 B. 12 C. 18 D.32 8.80.5 ﹣ 1 182+418=( ) A.4 2 B. 9 92 C.5 2 D. 7 22 第 2 页 9.下列计算正确的是( ) A.2 33 25 B.822 C.5 35 25 6 D.114222 10.如图,在矩形ABCD 中无重叠放入面积分别为16cm2和12cm2的两张正方形纸片,则图中空白部分的面积为( )cm2. A.16-8 3 B.-12+8 3 C.8-4 3 D.4- 2 3 评卷人 得分 二、填空题 11.若 a、b 为实数,且 b=22117aaa +4,则a+b=_____. 12.代数式 1 2m有意义,则m 的取值范围是__. 13.把二次根式(x-1)11x中根号外的因式移到根号内,结果是__. 14.计算:111225=__. 15.计算:(﹣1)2018+(2+ 3 )(2﹣ 3 )=__. 16.若最简二次根式4a与21a 是同类二次根式,则a=_____. 17.18,75 ,45 ,50 四个二次根式中,是同类二次根式的是_____. 18.三角形三边长分别为12 cm、27 cm 和48 cm,则这个三角形的周长是______. 第 3 页 评卷人 得分 三、解答题 19.计算: 122﹣ 183+2 32 ﹣112. 20.计算:﹣ 4 183÷(218543) 21.已知 x=y+33 ,求 x2+x+y2﹣2xy﹣y 的值. 22.有理数 a、b、c在数轴上的位置如图所示,化简22()()abbcbc. 23.(1)已知 a+3 与 2a﹣15 是一个正数的平方根,求 a 的值; (2)已知 x,y为实数,且 y=99xx﹣+4,求xy的值. 利用二次根式有意义的条件分析得出答案. 24.解答下列各题 (1)计算:3 3 ﹣( 12 +13)+27 ; (2)...

1、当您付费下载文档后,您只拥有了使用权限,并不意味着购买了版权,文档只能用于自身使用,不得用于其他商业用途(如 [转卖]进行直接盈利或[编辑后售卖]进行间接盈利)。
2、本站所有内容均由合作方或网友上传,本站不对文档的完整性、权威性及其观点立场正确性做任何保证或承诺!文档内容仅供研究参考,付费前请自行鉴别。
3、如文档内容存在违规,或者侵犯商业秘密、侵犯著作权等,请点击“违规举报”。

碎片内容

八年级下册数学《二次根式》单元测试题及答案

小辰8+ 关注
实名认证
内容提供者

出售各种资料和文档

相关文档

确认删除?
VIP
微信客服
  • 扫码咨询
会员Q群
  • 会员专属群点击这里加入QQ群
客服邮箱
回到顶部