电脑桌面
添加小米粒文库到电脑桌面
安装后可以在桌面快捷访问

八年级数学二次根式计算题专项练习

八年级数学二次根式计算题专项练习_第1页
1/7
八年级数学二次根式计算题专项练习_第2页
2/7
八年级数学二次根式计算题专项练习_第3页
3/7
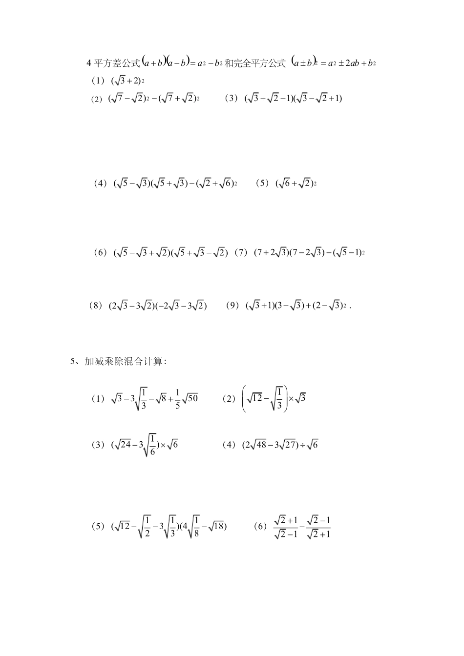
八 年 级 数 学 二 次 根 式 计 算 题 专 项 练 习1.二 次 根 式 乘 除 法 计 算 :abba,baba( 1)3 52 3( 2)818( 3)2712( 4)6(15) ( 5)182075( 6)27506( 7)241832( 8)263 ( 9)9520( 10)21318( 11)1218932( 12)271826( 13)562 ( 14)2 6(20)30 ;2、 把 下 列 各 式 分 母 有 理 化分 母 是 单 项 式 , 用aa2)(分母是多项式,用平方差公式(1)12 2(2)323(3)112(4)532(5)237(6)1132313、二次根式加减法计算:先化简成最简二次根式,再合并同类二次根式。同类二次根式概念:化简成最简二次根式后,被开方数相同合并同类二次根式:系数相加减,被开方数不变(1)483(2)3 375(3)155(4)140101010 (5)132322(6)20525 (7) 12273(8)1287007 (9)118522 (10)1293 3(11)15202 55  (12) 323 182;4 平方差公式22bababa和完全平方公式 2222bababa(1)2( 32)(2)22( 72)( 72) (3)( 321)( 321)(4)2( 53)( 53)( 26) (5)2( 62)(6)( 532)( 532)(7)2(72 3)(72 3)( 51)(8)(2 33 2)( 2 33 2) (9)2( 31)(33)(23).5、加减乘除混合计算:(1)113385035(2)11233(3)1( 243)66(4)(2 483 27)6(5)111( 123)(418)238 (6)21212121(7)1233123 (8)1 2 322331(9)246123(10)27583;(11)481213 33.(12)( 3021)( 107); (13)(3156)( 352); (14)(3 28)( 33)(15)1817 747(16) 11(27212) 2 333(17)148542(33)(1)3(18)3 32 55231 (19)6( 23)(20)112 ( 75348)3(21)1(10 4864 12)327 (22)1112( 1822)8236、实数混合计算:aa 2,nnaa1,10 a(1)2113( 31)2431 (2)2213 2(25)352(3)296318(12)23(4)24( 26)2( 32)31(5)2123( 5)()331  (6)2331(1)20.233(7)222331(1)()( 3)3233;(8)23332 33 2(13)8( 0.125)3 ;(9)32 0152 016013()( 21)( 21)()252 ;(10)20123()94 5()52552 ;(11)223( 32)( 31)( 3);(12)20( 3)3112()222232;(13)32 0152 0162()( 32)( 32)122 .(14)2 0162 0152232( 32)(23)(13)()23 

1、当您付费下载文档后,您只拥有了使用权限,并不意味着购买了版权,文档只能用于自身使用,不得用于其他商业用途(如 [转卖]进行直接盈利或[编辑后售卖]进行间接盈利)。
2、本站所有内容均由合作方或网友上传,本站不对文档的完整性、权威性及其观点立场正确性做任何保证或承诺!文档内容仅供研究参考,付费前请自行鉴别。
3、如文档内容存在违规,或者侵犯商业秘密、侵犯著作权等,请点击“违规举报”。

碎片内容

八年级数学二次根式计算题专项练习

您可能关注的文档

确认删除?
VIP
微信客服
  • 扫码咨询
会员Q群
  • 会员专属群点击这里加入QQ群
客服邮箱
回到顶部