电脑桌面
添加小米粒文库到电脑桌面
安装后可以在桌面快捷访问

微波技术基础课后参考答案(田加胜版)

微波技术基础课后参考答案(田加胜版)_第1页
1/10
微波技术基础课后参考答案(田加胜版)_第2页
2/10
微波技术基础课后参考答案(田加胜版)_第3页
3/10
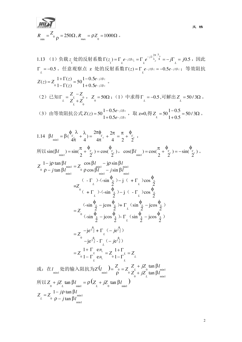
文 档 1 微波技术基础课后习题答案 1 第一章 1.7 终端反射系数0050505050125050501005025LLLZZjjjjZZjjj , 12555Lj; 终端驻波比51135512515LLL  ; 000505050tantan504( )5010(2)8tan250(5050) tan 4LinLjjZjZdZZjZjZdjjj。 1.11 终端反射系数00250-50011=-=250+50033jLLLZZeZZ ,终端反射系数模值13L,相角=L 。 根据行驻波状态时电压的变化规律可知: =L 时,若1n  ,则4234Ln ,电压处于波腹点,因此在输入端电压处于波腹点。 max(1)500LLUUV ,所以1500=3754LUVV,min(1)250LLUUV ;max0500(1)1500LLUIAZ ,min0250(1)0.5500LLUIAZ 。 由于0LRZ,负载处为电压波节点;驻波比11+1+3==211-1- 3LL, 文 档 2 0min250ZR ,max01000RZ 。 1.13 (1)负载1z 处的反射系数122821( )0.5ppjjzLLLzeejj     ,因此0.5L  。任意观察点 z 处的反射系数22( )0.5jzjzLzee  ;等效阻抗2021( )1 0.5( )501( )10.5jzjzzeZ zZze  。 (2)已知00LLLZZZZ ,050Z  ;(1)中求得0.5L  ,可解出50 / 3LZ  。 (3)由等效阻抗公式221 0.5( )5010.5jzjzeZ ze,取 z=0,得1 0.55050 / 31 0.5LZ。 1.14 min122()444422LLLl , 所以min1sin()sin()cos()222LLl,min1cos()cos()sin()222LLl 。 min1min1min100min1min1min1LL0LLLLLL0LLL1j tancosj sintancossin--sinj+cos22=+-sinj-cos22-sinjcos+sinjcos2222-sinjcos-sin22LLLLLLlllZZjlljlZZ(1)() (1)(1)() (1)()()()(LLLLLLL-jj220-jj22j00jjcos22je+eje-e1e11e1LLLLLLLjZjZZZ    )()() 或:在min1l处的输入阻抗为 00min1min100min1tantanLLZZjZlZ lZ ZjZl 所以0min10min1tanta...

1、当您付费下载文档后,您只拥有了使用权限,并不意味着购买了版权,文档只能用于自身使用,不得用于其他商业用途(如 [转卖]进行直接盈利或[编辑后售卖]进行间接盈利)。
2、本站所有内容均由合作方或网友上传,本站不对文档的完整性、权威性及其观点立场正确性做任何保证或承诺!文档内容仅供研究参考,付费前请自行鉴别。
3、如文档内容存在违规,或者侵犯商业秘密、侵犯著作权等,请点击“违规举报”。

碎片内容

微波技术基础课后参考答案(田加胜版)

您可能关注的文档

确认删除?
VIP
微信客服
  • 扫码咨询
会员Q群
  • 会员专属群点击这里加入QQ群
客服邮箱
回到顶部