电脑桌面
添加小米粒文库到电脑桌面
安装后可以在桌面快捷访问

2025年CPA经济法考点解读第09章票据与支付结算法律制度

2025年CPA经济法考点解读第09章票据与支付结算法律制度_第1页
1/6
2025年CPA经济法考点解读第09章票据与支付结算法律制度_第2页
2/6
2025年CPA经济法考点解读第09章票据与支付结算法律制度_第3页
3/6
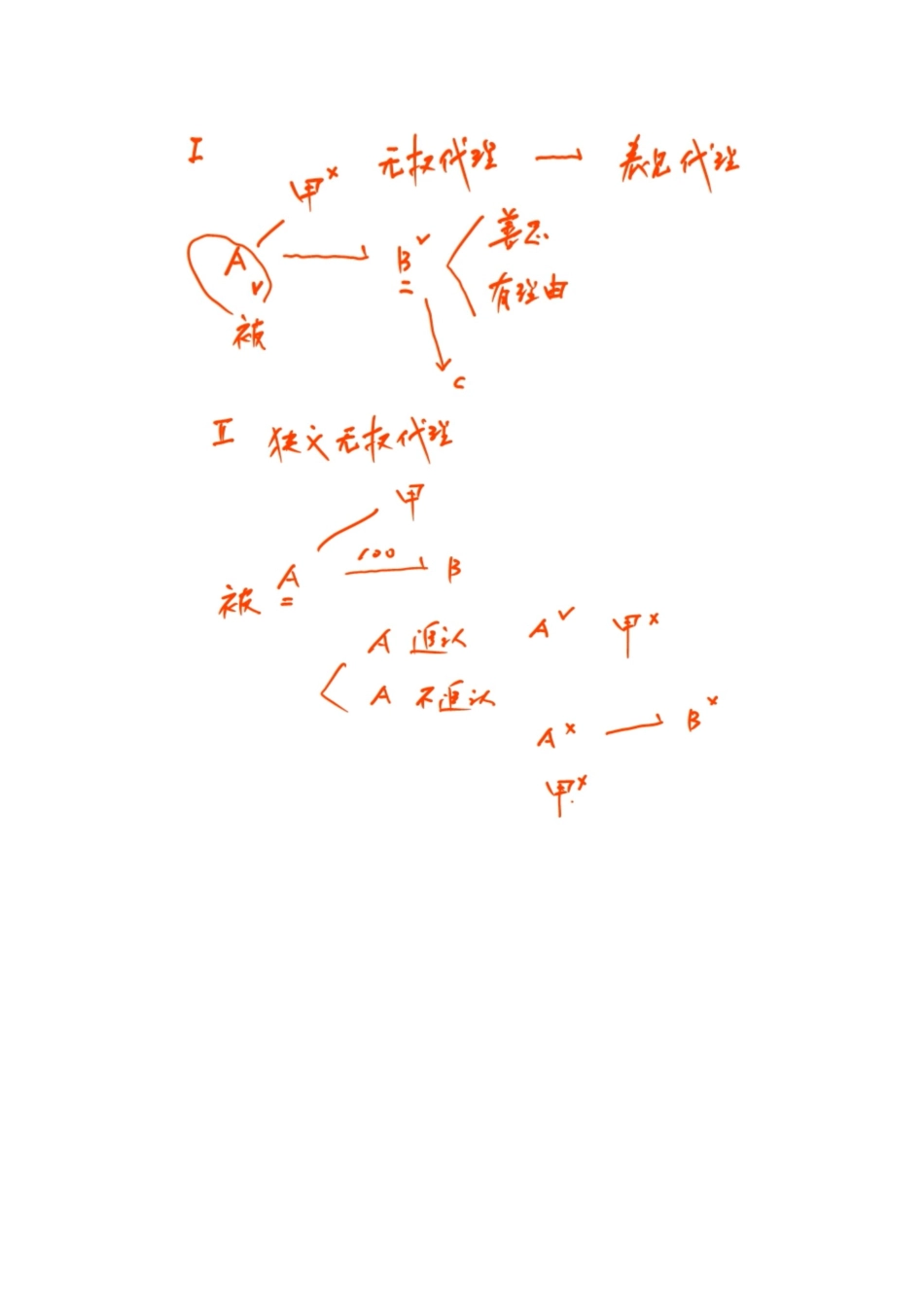
第三单元 票据权利和票据行为【考点 2】票据权利的善意获得(P333)(案例分析题、案例分析题)3.票据权利善意获得制度的参照合用【案例 1】无权代理人 A 以甲企业的名义签发一张支票给乙企业,收款人乙企业明知 A没有代理权。在本案中:(1)代理行为无效,乙企业不能获得票据权利;(2)假如乙企业将该支票背书转让给丙企业,假如符合善意获得的要件,丙企业可以获得票据权利。此时,乙企业应承担背书人的票据责任,甲企业不承担票据责任,A 应承担作为出票人的票据责任。【案例 2】甲拟出票给乙,记载完毕后票据遗失,被丙拾得。丙冒充乙并伪造乙的签章 ,将其背书转让给丁。假如符合善意获得的要件,则丁可以获得票据权利。此时,乙、丙作为被伪造人和伪造人,均不承担票据责任;甲的签章是真实签章,甲应承担票据责任。【解释】上述两个案例的特点在于,出票行为在实质上并未生效,票据上并不存在任何真实的票据权利,因此,此后的背书转让行为在实质上并非对他人的票据权利进行处分。不过,由于出票行为在形式上并无瑕疵,从被背书人的角度(善意且无重大过错、支付对价、符合背书行为的形式和实质要件),有维护交易安全的必要。因此,票据权利的善意获得制度应当被参照合用于此类情形。【考点 3】票据行为的代理(P332)1.票据代理行为的有效要件(1)须明示以本人(被代理人)的名义,并表明代理的意思;(2)代理人(在票据上)签章;(3)代理人有代理权。【解释】票据行为是一种民事法律行为,可以由代理人进行。例如,大多数票据均由持票人委托自己的开户银行作为代理人去提醒付款。2.越权代理票据代理人超越代理权限的,应当就其超越权限的部分承担票据责任,在权限范围内的代理行为继续有效。【解释】(1)根据《民法通则》的规定,超越代理权限的构成无权代理;(2)根据《票据法》的规定,票据代理人超越代理权限的,在权限范围内的代理行为继续有效。3.无权代理没有代理权而以代理人名义在票据上签章的,考生应辨别如下两种情形:(1)狭义的无权代理① 假如本人(被代理人)事后表达追认,则该票据行为对本人(被代理人)发生效力,并由本人(被代理人)承担票据责任。② 假如本人(被代理人)事后未追认,相对人不能获得票据权利,不管本人(被代理人)还是无权代理人均不承担票据责任。不过,相对人又对他人进行票据行为的,假如满足善意获得的要件,无权代理人必须对票据权利人承担责任(无权代理人在票据上签了...

1、当您付费下载文档后,您只拥有了使用权限,并不意味着购买了版权,文档只能用于自身使用,不得用于其他商业用途(如 [转卖]进行直接盈利或[编辑后售卖]进行间接盈利)。
2、本站所有内容均由合作方或网友上传,本站不对文档的完整性、权威性及其观点立场正确性做任何保证或承诺!文档内容仅供研究参考,付费前请自行鉴别。
3、如文档内容存在违规,或者侵犯商业秘密、侵犯著作权等,请点击“违规举报”。

碎片内容

2025年CPA经济法考点解读第09章票据与支付结算法律制度

您可能关注的文档

确认删除?
VIP
微信客服
  • 扫码咨询
会员Q群
  • 会员专属群点击这里加入QQ群
客服邮箱
回到顶部