电脑桌面
添加小米粒文库到电脑桌面
安装后可以在桌面快捷访问

拼音版《孙子兵法》

拼音版《孙子兵法》_第1页
1/44
拼音版《孙子兵法》_第2页
2/44
拼音版《孙子兵法》_第3页
3/44
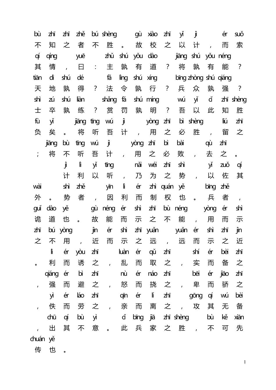
孙 子 兵法 孙 武 jì 计 piān 篇 sūn 孙 zi 子 yuē 曰 : bīnɡ 兵 zhě 者 , ɡuó 国 zhī 之 dà 大 shì 事 , sǐ 死 shēnɡ 生 zhī 之 dì 地 , cún 存 wánɡ 亡 zhī 之 dào 道 , bù 不 kě 可 bù 不 chá 察 yě 也 。 ɡù 故 jīnɡ 经 zhī 之 yǐ 以 wǔ 五 shì 事 , xiào 校 zhī 之 yǐ 以 jì 计 , ér 而 suǒ 索 qí 其 qínɡ 情 : yī 一 yuē 曰 dào 道 , èr 二 yuē 曰 tiān 天 , sān 三 yuē 曰 dì 地 , sì 四 yuē 曰 jiānɡ 将 , wǔ 五 yuē 曰 fǎ 法 。 dào 道 zhě 者 , lìnɡ 令 mín 民 yú 于 shànɡ 上 tónɡ 同 yì 意 , kě 可 yǔ 与 zhī 之 sǐ 死 , kě 可 yǔ 与 zhī 之 shēnɡ 生 , ér 而 bù 不 wēi 危 yě 也 ; tiān 天 zhě 者 , yīn 阴 yánɡ 阳 、 hán 寒 shǔ 暑 、 shí 时 zhì 制 yě 也 ; dì 地 zhě 者 , yuǎn 远 jìn 近 、 xiǎn 险 yì 易 、 ɡuǎnɡ 广 xiá 狭 、 sǐ 死 shēnɡ 生 yě 也 ; jiānɡ 将 zhě 者 , zhì 智 、 xìn 信 、 rén 仁 、 yǒnɡ 勇 、 yán 严 yě 也 ; fǎ 法 zhě 者 , qǔ 曲 zhì 制 、 ɡuān 官 dào 道 、 zhǔ 主 yònɡ 用 yě 也 。 fán 凡 cǐ 此 wǔ 五 zhě 者 , jiānɡ 将 mò 莫 bù 不 wén 闻 , zhī 知 zhī 之 zhě 者 shènɡ 胜 , 1 bù 不 zhī 知 zhī 之 zhě 者 bú 不 shènɡ 胜 。 ɡù 故 xiào 校 zhī 之 yǐ 以 jì 计 , ér 而 suǒ 索 qí 其 qínɡ 情 , yuē 曰 : zhǔ 主 shú 孰 yǒu 有 dào 道 ? jiānɡ 将 shú 孰 yǒu 有 nénɡ 能 ? tiān 天 dì 地 shú 孰 dé 得 ? fǎ 法 lìnɡ 令 shú 孰 xínɡ 行 ? bīnɡ 兵 zhònɡ 众 shú 孰 qiánɡ 强 ? shì 士 zú 卒 shú 孰 liàn 练 ? shǎnɡ 赏 fá 罚 shú 孰 mínɡ 明 ? wú 吾 yǐ 以 cǐ 此 zhī 知 shènɡ 胜 fù 负 yǐ 矣 。 ji...

1、当您付费下载文档后,您只拥有了使用权限,并不意味着购买了版权,文档只能用于自身使用,不得用于其他商业用途(如 [转卖]进行直接盈利或[编辑后售卖]进行间接盈利)。
2、本站所有内容均由合作方或网友上传,本站不对文档的完整性、权威性及其观点立场正确性做任何保证或承诺!文档内容仅供研究参考,付费前请自行鉴别。
3、如文档内容存在违规,或者侵犯商业秘密、侵犯著作权等,请点击“违规举报”。

碎片内容

拼音版《孙子兵法》

您可能关注的文档

确认删除?
VIP
微信客服
  • 扫码咨询
会员Q群
  • 会员专属群点击这里加入QQ群
客服邮箱
回到顶部