电脑桌面
添加小米粒文库到电脑桌面
安装后可以在桌面快捷访问

燃煤电力工程对城区环境空气质量影响分析

燃煤电力工程对城区环境空气质量影响分析_第1页
1/8
燃煤电力工程对城区环境空气质量影响分析_第2页
2/8
燃煤电力工程对城区环境空气质量影响分析_第3页
3/8
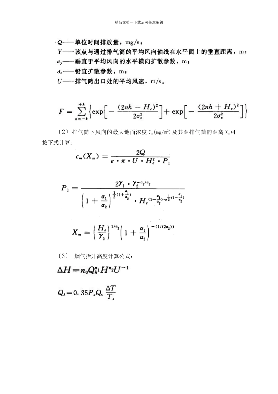
精品文档---下载后可任意编辑燃煤电力工程对城区环境空气质量影响分析——以华能岳阳电厂三期工程为例王 志 勤(岳阳市环境保护局)【摘 要】 煤为非清洁能源,燃煤火力发电在我国的能源结构中占有重要比例,其带来的环境影响不可低估。以华能岳阳电厂三期工程为讨论对象,通过对燃煤燃烧、污染物去除、废气高空排放工艺流程分析以及运用列举法和大气扩散数学模式对燃煤发电厂的污染影响与控制进行了讨论,提出了燃煤电力工程空气污染防治对策和建议,为大型燃煤电厂空气污染防治提供参考。【关键词】 环境影响 空气污染 燃煤 岳阳华能岳阳电厂位于湖南省岳阳市东北面,距离岳阳城区约 10 公里,地理坐标北纬 29°27′″,东经 113°9′″,地处洞庭湖平原,地形平坦,属亚热带湿润季风气候,全年主导风向为东北风。该厂方案分三期建设,目前已建设并运行两期,总装机容量为 2525MW。一期工程为全套英国引进的 2×362.5MW 亚临界机组,1#和 2#机组分别于 1991 年9 月和 12 月分别投入运行,至今已运行将近十七年了;二期工程为亚临界机组,3#、4#机组那么于 2024 年 3 月、5 月分别投入运行。三期工程方案于 2024 年予以实施,装机容量为 2×600MW 超临界机组。华能岳阳电厂作为湘北地区最大的发电工程,年耗煤量到达 220 万吨,三期投产后,又将再增加 200 多万吨,年耗煤量占全市区耗煤量的 40%,势必不远处主导风向下风处的岳阳中心城区环境空气质量造成影响,因此,我们将通过数学模式和环境监测数据分析三期工程投产对岳阳城区环境空气质量的影响。一、环境空气质量现状岳阳市 2024 年全市 SO2年日均值浓度为 0.061 mg/m3,超过国家二级标准,浓度份额到达标准的 101.7%,环境容量极其有限,而且浓度各季节分布不均匀,在 NE 风盛行的一、四季度,日均值更是到达了 0.078 mg/m3、0.070 mg/m3;NO2年均值浓度为 0.026 mg/m3,到达国家二级标准,浓度份额为标准的 65%,各季节浓度相差不大,有一定环境容量。精品文档---下载后可任意编辑表 1 2024 年各季度污染物浓度表二、电厂污染设施情况 电厂各期工程由于建设时期跨度较长,环保设施建设参差不齐,各期具体情况见下表:表 2 环保设施工程一期二期三期烟气除尘装 置种类静电除尘器效率〔%〕SO2控制装置种类/石灰石—石膏湿法效率〔%〕/9090NO2控制装置方式W 型火焰锅炉低氮燃烧技术烟囱高度〔m〕210内径〔m〕7三、三期工程投产后环...

1、当您付费下载文档后,您只拥有了使用权限,并不意味着购买了版权,文档只能用于自身使用,不得用于其他商业用途(如 [转卖]进行直接盈利或[编辑后售卖]进行间接盈利)。
2、本站所有内容均由合作方或网友上传,本站不对文档的完整性、权威性及其观点立场正确性做任何保证或承诺!文档内容仅供研究参考,付费前请自行鉴别。
3、如文档内容存在违规,或者侵犯商业秘密、侵犯著作权等,请点击“违规举报”。

碎片内容

燃煤电力工程对城区环境空气质量影响分析

阳光书坊+ 关注
实名认证
内容提供者

阳光书坊,传播未来

确认删除?
VIP
微信客服
  • 扫码咨询
会员Q群
  • 会员专属群点击这里加入QQ群
客服邮箱
回到顶部