电脑桌面
添加小米粒文库到电脑桌面
安装后可以在桌面快捷访问

标准日本语初级下册日语动词一览表VIP专享

标准日本语初级下册日语动词一览表_第1页
1/11
标准日本语初级下册日语动词一览表_第2页
2/11
标准日本语初级下册日语动词一览表_第3页
3/11
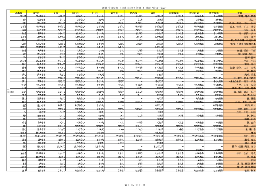
新版 中日交流 《标准日本语》初级 下 附录“动词一览表”基本形ます形て形ない形た 形命令形意志形ば形可能形式被动形式使役形式中文会う会いますあってあわないあったあえあおうあえばあえるあわれるあわせる见面,碰见合う合いますあってあわないあったーーあえばーーあわせる与……一致上げる上がりますあがってあがらないあがったあがれあがろうあがればあがれるあがられるあがらせる(从地处向高处)上,登開く開きますあいてあかないあいたあけーあけばーーー开,打开,开着空く空きますあいてあかないあいたーーあけばーーー空,闲,无人使用預かる預かりますあずかってあずからないあずかったあずかれあずかろうあずかればあずかられるあずかられるあずからせる收存,保管,代人保管遊ぶ遊びますあそんであそばないあそんだあそべあそぼうあそべぼあそべるあそばれるあそばせる游玩,玩耍;闲置当たる当たりますあたってあたらないあたったあたれあたろうあたればあたれるあたられるあたらせる碰上;猜中;相当于集まる集まりますあつまってあつまらないあつまったあつまれあるまろうあつまればあつまれるあつまられるあつまらせる集合,聚集;汇合謝る謝りますあやまってあやまらないあやまったあやまれあやまろうあやまればあやまられるあやまられるあやまらせる赔礼道歉洗う洗いますあらってあらわないあらったあらえあらおうあらえばあらえるあらわれるあらわせる洗,冲洗;调查,查清あるありますあってないあったーーあればーーー有歩く歩きますあるいてあるかないあるいたあるけあるこうあるけばあるけるあるかれるあるかせる走,步行言う言いますいっていわないいったいえいおういえばいえるいわれるいわせる说,讲;叫做,称为行く行きますいっていかないいったいけいこういけばいけるいかれるいかせる去,走;进行,进展急ぐ急ぎますいそいでいそがないいそいだいそげいそごういそげばいそげるいそがけるいそがせる急忙,赶忙いたすいたしますいたしていたさないいたしたいたせいたそういたせばーーー(自谦)做,办;尽力いただくいただきますいただいていただかないいただいたいただけいただこういただけばいただけるーー 领取,领受;(自谦)吃,喝至る至りますいたっていたらないいたったいたけいたろういたればいたれるいたられるいたらせる到;来到いらっしゃるいらっしゃいますいらっしゃっていらっしゃらないい...

1、当您付费下载文档后,您只拥有了使用权限,并不意味着购买了版权,文档只能用于自身使用,不得用于其他商业用途(如 [转卖]进行直接盈利或[编辑后售卖]进行间接盈利)。
2、本站所有内容均由合作方或网友上传,本站不对文档的完整性、权威性及其观点立场正确性做任何保证或承诺!文档内容仅供研究参考,付费前请自行鉴别。
3、如文档内容存在违规,或者侵犯商业秘密、侵犯著作权等,请点击“违规举报”。

碎片内容

标准日本语初级下册日语动词一览表

确认删除?
VIP
微信客服
  • 扫码咨询
会员Q群
  • 会员专属群点击这里加入QQ群
客服邮箱
回到顶部