电脑桌面
添加小米粒文库到电脑桌面
安装后可以在桌面快捷访问

模式识别习题参考齐敏教材第5章

模式识别习题参考齐敏教材第5章_第1页
1/7
模式识别习题参考齐敏教材第5章_第2页
2/7
模式识别习题参考齐敏教材第5章_第3页
3/7
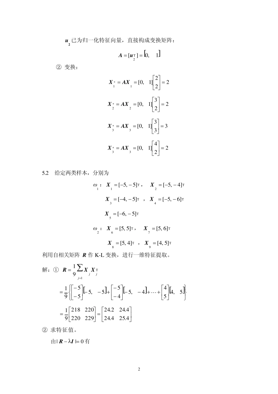
1 第5 章 特征选择与特征提取 习题解答 5.1 假定iω 类的样本集为},,,{4321XXXX,它们分别为 T1]2,2[X, T2]2,3[X,T3]3,3[X ,T4]2,4[X (1) 求类内散布矩阵; (2) 求类内散布矩阵的特征值和对应的特征向量; (3) 求变换矩阵A,将二维模式变换为一维模式。 解:(1)41493243323224141iiXM 类内散布矩阵: 41TT41iiiMMXXC 49,34932,4243,3332,3232,22241 1630021168142742792127273841 (2)① 由0|| CI求特征值。 01630021 016321 211 ,1632  ② 由0)(1uCI解得1 对应的特征向量1u 为T]0,1[1u。 由0)(2uCI解得2 对应的特征向量2u 为T]1,0[2u。 (3)① 选择较小特征值1632 对应的特征向量T]1,0[2u构成变换矩阵。 2 2u 已为归一化特征向量,直接构成变换矩阵: 1,0][T2 uA ② 变换: 222]1,0[1*1 AXX 223]1,0[2*2 AXX 333]1,0[3*3 AXX 224]1,0[3*3 AXX 5.2 给定两类样本,分别为 1ω :T1]5,5[X, T2]4,5[X T3]5,4[X ,T4]6,5[X T5]5,6[X 2ω :T6]5,5[X, T7]6,5[X T8]4,5[X ,T9]5,4[X 利用自相关矩阵R 作K-L 变换,进行一维特征提取。 解:① 91T91jjj XXR 5,4544,5455,55591 4.254.244.242.2422922022021891 ② 求特征值。 由0|| IR有 3 04.254.244.242.24 032.196.492 28.486.49232.19146.496.492 得2.491 ,4.02 ,选择较大的特征值1λ 。 ③ 求变换矩阵U。 a) 计算1λ 对应的特征向量T12111],[uuu:由011uIR 有 02.494.254.244.242.492.241211uu 得T1]02.1,1[u,归一化为T1]02.1,1[04.21u。 变换矩阵][1uU 。 ④ K-L 变换。由...

1、当您付费下载文档后,您只拥有了使用权限,并不意味着购买了版权,文档只能用于自身使用,不得用于其他商业用途(如 [转卖]进行直接盈利或[编辑后售卖]进行间接盈利)。
2、本站所有内容均由合作方或网友上传,本站不对文档的完整性、权威性及其观点立场正确性做任何保证或承诺!文档内容仅供研究参考,付费前请自行鉴别。
3、如文档内容存在违规,或者侵犯商业秘密、侵犯著作权等,请点击“违规举报”。

碎片内容

模式识别习题参考齐敏教材第5章

小辰+ 关注
实名认证
内容提供者

出售各种文档和资料

确认删除?
VIP
微信客服
  • 扫码咨询
会员Q群
  • 会员专属群点击这里加入QQ群
客服邮箱
回到顶部