电脑桌面
添加小米粒文库到电脑桌面
安装后可以在桌面快捷访问

2025年执业药师考试药学常考题型

2025年执业药师考试药学常考题型_第1页
1/25
2025年执业药师考试药学常考题型_第2页
2/25
2025年执业药师考试药学常考题型_第3页
3/25
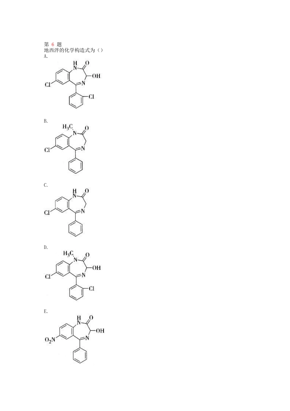
执业药师考试《药学专业知识(二)》常考题型一、单项选择题(每题 1 分)第 1 题 错误下列有关剂型的体现的是()A.剂型是指为适应或防止的需要而制备的不一样给药形式B.同一种剂型也可以有不一样的药物C.同一种药物也可以有不一样的剂型D.剂型是指某一种药物的详细品种E.阿司匹林片、对乙酰氨基酚片、麦迪霉素片、尼莫地平片等均为片剂剂型对的答案:D,第 2 题 具有二苯甲酮构造的药物是()A.氯贝丁酯B.非诺贝特C.普罗帕酮D.吉非贝齐E.桂利嗪对的答案:B,第 3 题 渗漏率是指()A.脂质体中游离药物与主投料量的比B.脂质体中游离药物的变化率C.脂质体在贮存期间游离药物的变化率D.脂质体在贮存期间包封率的变化状况E.脂质体游离药物与总投料量的比对的答案:D,第 4 题 马来酸氯苯那敏化学构造中具有手性碳原子的个数是()A.1B.2C.3D.4E.5对的答案:A,第 5 题 药物经皮吸取的重要屏障来自()A.角质层B.活性表皮层C.真皮层D.皮下组织E.皮肤附属器对的答案:A,第 6 题 地西泮的化学构造式为()A.B.C.D.E.对的答案:B,第 7 题 有关鼻黏膜给药的论述错误的是()A.鼻黏膜内的丰富血管和鼻黏膜的高度渗透压有助于吸取B.可避开肝脏首过效应C.吸取程度和速度不如静脉注射D.鼻腔给药以便易行E.多肽类药物合适鼻黏膜给药对的答案:C,第 8 题 如下有关重酒石酸间羟胺的论述不对的的是()A.重要激动 α 受体B.有中等强度加强心脏收缩的作用C.合用于多种休克及手术时低血压D.容易出现心律失常E.可用于心脏梗死性休克的治疗对的答案:D,第 9 题 制备难溶性药物溶液时,吐温作为()A.助溶剂B.增溶剂C.潜溶剂D.乳化剂E.分散剂对的答案:B,第 10 题 有关脂质体相变温度的论述错误的为()A.与磷脂的种类有关B.在相变温度以上,若升高温度,脂质体双分子层中的疏水链可从有序排列变为无序排列C.在相变温度以上,升高温度脂质体膜的厚度减小D.在相变温度以上,升高温度脂质体膜的流动性减小E.不一样磷脂构成的脂质体,在一定条件下可同步存在不一样的相对的答案:D,第 11 题 如下有关西地那非论述不对的的是()A.白色结晶性粉末B.无臭C.无味D.口服吸取迅速E.起效较快对的答案:C,第 12 题 奋乃静在空气中或日光下放置渐变为红棕色,分子中不稳定的构造部分为()A.羟基B.哌嗪环C.侧链部分D.苯环E.吩噻嗪环对的答案:E,第 13 题 按化学构造分奋乃静属于如下哪一类抗精神病药()A.噻吨类B.吩噻嗪类C.丁酰苯类D.苯二氮...

1、当您付费下载文档后,您只拥有了使用权限,并不意味着购买了版权,文档只能用于自身使用,不得用于其他商业用途(如 [转卖]进行直接盈利或[编辑后售卖]进行间接盈利)。
2、本站所有内容均由合作方或网友上传,本站不对文档的完整性、权威性及其观点立场正确性做任何保证或承诺!文档内容仅供研究参考,付费前请自行鉴别。
3、如文档内容存在违规,或者侵犯商业秘密、侵犯著作权等,请点击“违规举报”。

碎片内容

2025年执业药师考试药学常考题型

您可能关注的文档

读万卷书+ 关注
实名认证
内容提供者

各类经典PPT文档分享

确认删除?
VIP
微信客服
  • 扫码咨询
会员Q群
  • 会员专属群点击这里加入QQ群
客服邮箱
回到顶部