电脑桌面
添加小米粒文库到电脑桌面
安装后可以在桌面快捷访问

电子科技大学射频电路期中考试题库必考

电子科技大学射频电路期中考试题库必考_第1页
1/21
电子科技大学射频电路期中考试题库必考_第2页
2/21
电子科技大学射频电路期中考试题库必考_第3页
3/21
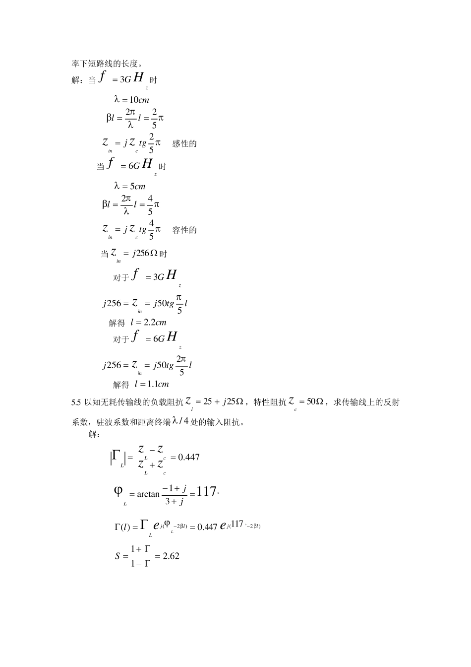
5.1 分布参数电路与集总参数电路的区别是什么? 答:分布参数电路和集总参数电路的区别是:分布参数电路频率高,波长短可以和电路尺寸想比较,同时电参量随空间变化,电磁波在电路中传输效应很明显,传输线上的电感,电阻和线间的电导都不能忽略,线上各点电位不同,处处有储能和损耗,集总参数电路的频率则比较低,电路尺寸和波长相比较很小,可以认为是一点,电场和磁场可以近似看做只随时间变化,不随导线长度、位置而发生变化。 5.2 传输线有哪些特性参量和工作参量?他们是如何定义的? 答:传输线的特性参量包括特性阻抗,传播常数,相速和波导波长 特性阻抗:传输线上行波电压与电流之比 传播常数))((1111jwCGjwLR 相速:行波等波阵面等相位面移动的速度 波导波长:波在一周期内沿线所传播的距离 传输线的工作参量包括输入阻抗,反射系数,驻波系数,驻波相位。 输入阻抗:线上任意一点(参考点)的总电压与总电流的比值称为由该点向负载看去的输入阻抗。 反射系数:是传输线上某点反向传播的波(反射波)电压与正向传播的波(入射波)的电压之比称为该点的反射系数。 驻波系数:驻波系数是传输线上电压最大值和电压最小值的比值。 驻波相位(电压驻波比):从负载处沿波源方向到离负载最近的电压最小值处的距离。 5.3 设一段长为L 的有耗传输线,当负载开路()0IL时,测得输入端阻抗为z0 ,当负载端短路 )0(Ul时,测得输入端阻抗为zs ,计算该线的特性阻抗zc 。 解: zthzthZZZZZZlcclcin 当0Zl(短路) ZZZzthcin0 当Zl(开路) ZZZscinzth1 解之得到 ZZZsc0 5.4 一段终端短路的传输线,线长l=2cm ,工作频率HfzG31,HfzG62。试判断输入阻抗分别呈何特性。若传输线的特性阻抗zc =50 ,262)(jlZ ,试求上述两频率下短路线的长度。 解:当HfzG3时 cm10 522ll 52tgj zzcin  感性的 当HfzG6时 cm5 542ll 54tgj zzcin  容性的 当256jzin时 对于HfzG3 ltgjjzin550256 解得 cml2.2 对于HfzG6 ltgjjzin5250256 解得 cml1.1 5.5 以知无耗传输线的负载阻抗2525jzl,特性阻抗 50zc,求传输线上的反射系数,驻波系数和距离终端4/处的输入阻抗。 解: 447.0zzzzcLcLL 11731arctanjjL eeljljLLl)2()2(117447.0)(...

1、当您付费下载文档后,您只拥有了使用权限,并不意味着购买了版权,文档只能用于自身使用,不得用于其他商业用途(如 [转卖]进行直接盈利或[编辑后售卖]进行间接盈利)。
2、本站所有内容均由合作方或网友上传,本站不对文档的完整性、权威性及其观点立场正确性做任何保证或承诺!文档内容仅供研究参考,付费前请自行鉴别。
3、如文档内容存在违规,或者侵犯商业秘密、侵犯著作权等,请点击“违规举报”。

碎片内容

电子科技大学射频电路期中考试题库必考

确认删除?
VIP
微信客服
  • 扫码咨询
会员Q群
  • 会员专属群点击这里加入QQ群
客服邮箱
回到顶部