电脑桌面
添加小米粒文库到电脑桌面
安装后可以在桌面快捷访问

电线电缆负荷规范

电线电缆负荷规范_第1页
1/12
电线电缆负荷规范_第2页
2/12
电线电缆负荷规范_第3页
3/12
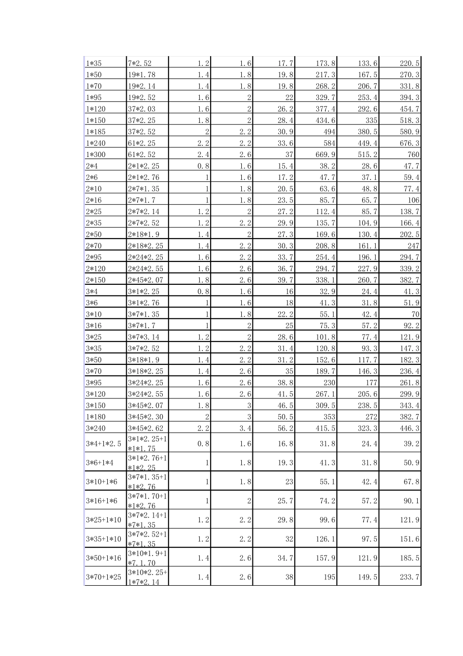
截面m㎡最大直径铝A铜A2.53.91731.644.42247.564.92967.1107621191687817925101182813511.51563815013.221552170152827349517.538696212019431118015021539147018523.5666181024026.5857235030029.51070 2930400331390 3870铜芯 铝芯 铜芯1*107*1.3511.613.480.661.5103.91*167*1.7011.614.510681.5126.71*257*2.141.21.616.3143.1 110.2181.3VLV29铝芯聚氯乙烯绝缘钢带铠装聚氯乙烯护套电力电缆电 线 电 缆 载 流 量VV29-铜芯聚氯乙烯绝缘钢带铠装聚氯乙烯护套电力电缆 常用线缆规格(BV BLV BVR)BV 聚氯乙烯铜线 BLV 聚氯乙烯铝线BVR 铜软线 BV-105 铜105℃BVV 铜线(潮湿环境高防护)BXF 橡皮绝缘铜线BLXF 橡皮绝缘铝线 BLVV 铝线(潮湿环境高防护)计算外径mm环境25℃时载流量(A)空气敷设环境25℃时载流(A)埋土敷设标称面积m㎡线芯结构no/mm绝缘厚度mm 护套厚度mm1*357*2.521.21.617.7173.8133.6220.51*5019*1.781.41.819.8217.3167.5270.31*7019*2.141.41.819.8268.2206.7331.81*9519*2.521.6222329.7253.4394.31*12037*2.031.6226.2377.4292.6454.71*15037*2.251.8228.4434.6335518.31*18537*2.5222.230.9494380.5580.91*24061*2.252.22.233.6584449.4676.31*30061*2.522.42.637669.9515.27602*42*1*2.250.81.615.438.228.647.72*62*1*2.7611.617.247.737.159.42*102*7*1.3511.820.563.648.877.42*162*7*1.711.823.585.765.71062*252*7*2.141.2227.2112.485.7138.72*352*7*2.521.22.229.9135.7104.9166.42*502*18*1.91.4227.3169.6130.4202.52*702*18*2.251.42.230.3208.8161.12472*952*24*2.251.62.233.7254.4196.1294.72*1202*24*2.551.62.636.7294.7227.9339.22*1502*45*2.071.82.639.7338.1260.7382.73*43*1*2.250.81.61632.924.441.33*63*1*2.7611.61841.331.851.93*103*7*1.3511.822.255.142.4703*163*7*1.7122575.357.292.23*253*7*3.141.2228.6101.877.4121.93*353*7*2.521.22.231.4120.893.3147.33*503*18*1.91.42.231.2152.6117.7182.33*703*18*2.251.42.635189.7146.3236.43*953*24*2.251.62.638.8230177261.83*1203*24*2.551.62.641.5267.1205.6299.93*1503*45*2.071.8346.5309.5238.5343.41*1803*45*2.302350.5353272382.73*2403*45*2.622.23.456.2415.5323.3446.33*4+1*2.53*1*2.25+1*1*1.750.81.616.831.824.439.23*6+1*43*1*2.76+1*1*2.2511.819.341.331.850.93*10+1*63*7*1.35+1*1*2.7611.82...

1、当您付费下载文档后,您只拥有了使用权限,并不意味着购买了版权,文档只能用于自身使用,不得用于其他商业用途(如 [转卖]进行直接盈利或[编辑后售卖]进行间接盈利)。
2、本站所有内容均由合作方或网友上传,本站不对文档的完整性、权威性及其观点立场正确性做任何保证或承诺!文档内容仅供研究参考,付费前请自行鉴别。
3、如文档内容存在违规,或者侵犯商业秘密、侵犯著作权等,请点击“违规举报”。

碎片内容

电线电缆负荷规范

确认删除?
VIP
微信客服
  • 扫码咨询
会员Q群
  • 会员专属群点击这里加入QQ群
客服邮箱
回到顶部