电脑桌面
添加小米粒文库到电脑桌面
安装后可以在桌面快捷访问

福建省医疗服务收费目录

福建省医疗服务收费目录_第1页
1/101
福建省医疗服务收费目录_第2页
2/101
福建省医疗服务收费目录_第3页
3/101
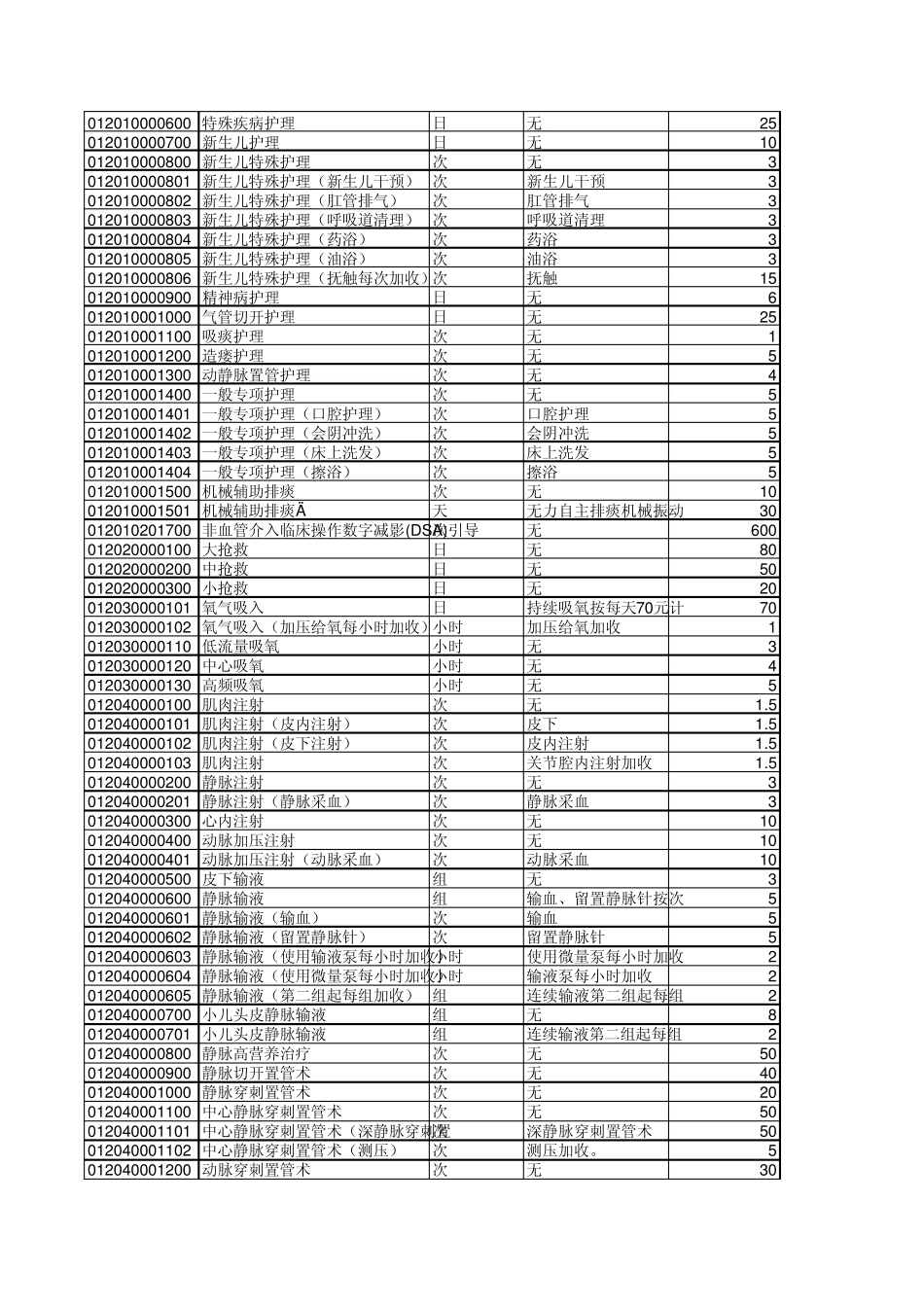
项目编号项目名称单位项目规格单价0 1 1 0 1 0 0 0 0 1 0 1 挂号费(省级) 次 三甲医院执行此价格 1 .30 1 1 0 1 0 0 0 0 1 0 2 挂号费(三甲医院) 次 省级医院执行此价格 1 .30 1 1 0 1 0 0 0 0 1 0 3 挂号费(设区市医院) 次 设区市医院 1 .10 1 1 0 1 0 0 0 0 1 0 4 挂号费(县医院) 次 县级医院 10 1 1 0 1 0 0 0 0 1 0 5 挂号费(乡级卫生院) 次 乡级卫生院 0 .80 1 1 0 1 0 0 0 0 1 0 6 挂号费(计算机预约挂号加收) 次 计算机预约挂号服务 10 1 1 0 1 0 0 0 0 1 0 7 挂号费(初建病历及病历手册收费) 次 初诊建病历及病历手册0 .50 1 1 0 2 0 0 0 0 1 1 0 普通门诊诊查费?住院医师 次 无 1 .50 1 1 0 2 0 0 0 0 1 2 0 普通门诊诊查费?主治医师 次 无 20 1 1 0 2 0 0 0 0 1 3 1 普通门诊诊查费?副主任医师(三甲 次 三甲医院执行此价格 4 .50 1 1 0 2 0 0 0 0 1 3 2 普通门诊诊查费?副主任医师(三甲 次 三甲以下医院 40 1 1 0 2 0 0 0 0 1 4 1 普通门诊诊查费?主任医师(三甲医 次 三甲医院执行此价格 70 1 1 0 2 0 0 0 0 1 4 2 普通门诊诊查费?主任医师(三甲以 次 三甲以下医院 60 1 1 0 2 0 0 0 0 2 0 0 专家门诊诊查费 次 ①每人半日挂号不超过5 00 1 1 0 2 0 0 0 0 3 0 1 急诊诊查费(相应级别普通门诊诊查 次 在普通门诊诊查费的基10 1 1 0 2 0 0 0 0 4 0 0 门急诊留观诊查费 日 不足半日按半日计价 1 50 1 1 0 2 0 0 0 0 5 0 1 住院诊查费(三甲医院) 日 三甲医院执行此价格 40 1 1 0 2 0 0 0 0 5 0 2 住院诊查费(三甲以下医院) 日 三甲以下医院 20 1 1 0 2 0 0 0 0 5 0 3 住院诊查费(乡级卫生院) 日 乡级卫生院 10 1 1 0 3 0 0 0 0 1 0 0 急诊监护费 日 符合监护病房条件和管5 00 1 1 0 4 0 0 0 0 1 0 0 院前急救费(内脏衰竭) 次 无 4 00 1 1 0 4 0 0 0 0 1 0 1 院前急救费(外伤) 次 内脏衰竭现场急救 4 00 1 1 0 4 0 0 0 0 1 0 2 院前急救费(烧伤) 次 外伤现场急救 4 00 1 1 0 4 0 0 0 0 1 0 3 院前急救费(中毒...

1、当您付费下载文档后,您只拥有了使用权限,并不意味着购买了版权,文档只能用于自身使用,不得用于其他商业用途(如 [转卖]进行直接盈利或[编辑后售卖]进行间接盈利)。
2、本站所有内容均由合作方或网友上传,本站不对文档的完整性、权威性及其观点立场正确性做任何保证或承诺!文档内容仅供研究参考,付费前请自行鉴别。
3、如文档内容存在违规,或者侵犯商业秘密、侵犯著作权等,请点击“违规举报”。

碎片内容

福建省医疗服务收费目录

确认删除?
VIP
微信客服
  • 扫码咨询
会员Q群
  • 会员专属群点击这里加入QQ群
客服邮箱
回到顶部