电脑桌面
添加小米粒文库到电脑桌面
安装后可以在桌面快捷访问

第六讲:等差、等比数列的运用公式大全

第六讲:等差、等比数列的运用公式大全_第1页
1/8
第六讲:等差、等比数列的运用公式大全_第2页
2/8
第六讲:等差、等比数列的运用公式大全_第3页
3/8
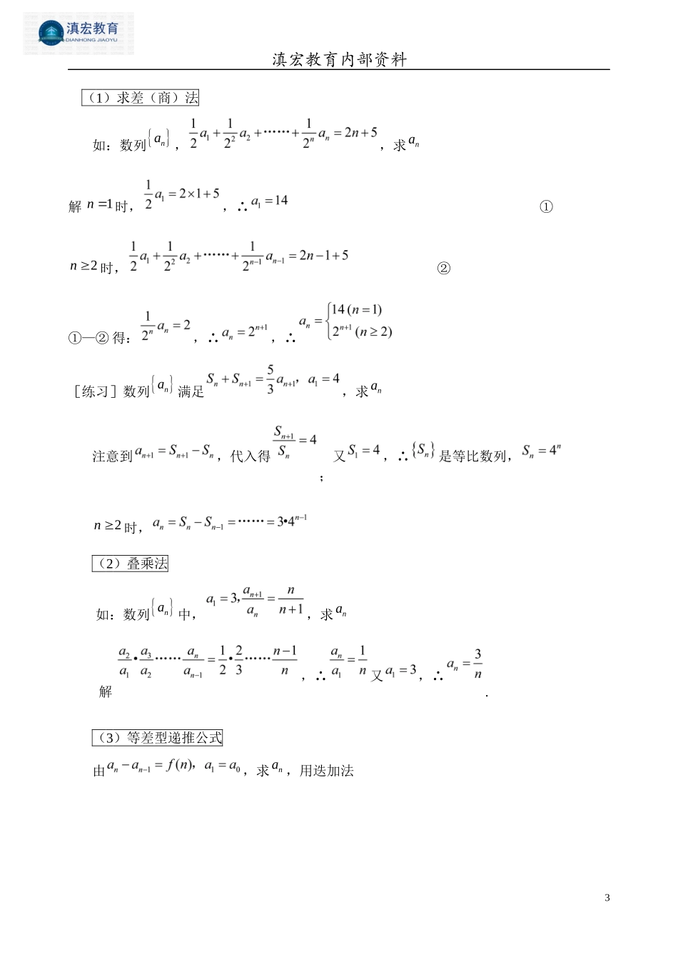
滇宏教育内部资料 第六讲:等差、等比数列的运用1. 等差数列的定义与性质定义:(为常数),等差中项:成等差数列前项和性质:是等差数列(1)若,则(2)数列{a2 n−1},{a2n},{a2n+1}仍为等差数列,仍为等差数列,公差为n2 d ;(3)若三个成等差数列,可设为(4)若是等差数列,且前项和分别为,则(5)为等差数列(为常数,是关于的常数项为 0 的二次函数)的最值可求二次函数的最值;或者求出中的正、负分界项,即:当,解不等式组可得达到最大值时的值. 当,由可得达到最小值时的值. (6) 项数为偶数2n的等差数列,有n nan nanSnnSn na1滇宏教育内部资料S2n=n(a1+a2n)=n(a2+a2n−1)=⋯=n(an+an+1)(an,an+1为中间两项)S偶−S奇=nd ,S奇S偶=anan+1 .(7)项数为奇数2n−1的等差数列,有S2n−1=(2n−1)an(an为中间项), S奇−S偶=an ,S奇S偶= nn−1 .2. 等比数列的定义与性质定义:(为常数,),.等比中项:成等比数列,或.前项和:(要注意!)性质:是等比数列(1)若,则(2)仍为等比数列,公比为.注意:由求时应注意什么?时,;时,.3.求数列通项公式的常用方法 nan namnpq 232nnnnnSSSSS,,……nS2滇宏教育内部资料(1)求差(商)法如:数列,,求 解时,,∴ ①时, ②①—② 得:,∴,∴[练习]数列满足,求注意到,代入得;又,∴是等比数列,时,(2)叠乘法 如:数列中,,求解 ,∴又,∴.(3)等差型递推公式由,求,用迭加法 nana1n 2n  nana2n  nanana3滇宏教育内部资料时,两边相加得∴(4)等比型递推公式(为常数,)可转化为等比数列,设令,∴,∴是首项为为公比的等比数列∴,∴(5)倒数法如:,求由已知得:,∴∴为等差数列,,公差为,∴,∴2n na4滇宏教育内部资料(附:公式法、利用、累加法、累乘法.构造等差或等比或、待定系数法、对数变换法、迭代法、数学归纳法、换元法)4. 求数列前 n 项和的常用方法(1) 裂项法把数列各项拆成两项或多项之和,使之出现成对互为相反数的项. 如:是公差为的等差数列,求解:由∴[练习]求和:(2)错位相减法若为等差数列,为等比数列,求数列(差比数列)前项和,可由,求,其中为的公比. 如: ① nad nannSq nb5滇宏教育内部资料 ②①—②时,,时,(3)倒序相加法把数列的各项顺序倒写,再与原来顺序的数列相加. 相加[练习]已知,则 由∴原式求...

1、当您付费下载文档后,您只拥有了使用权限,并不意味着购买了版权,文档只能用于自身使用,不得用于其他商业用途(如 [转卖]进行直接盈利或[编辑后售卖]进行间接盈利)。
2、本站所有内容均由合作方或网友上传,本站不对文档的完整性、权威性及其观点立场正确性做任何保证或承诺!文档内容仅供研究参考,付费前请自行鉴别。
3、如文档内容存在违规,或者侵犯商业秘密、侵犯著作权等,请点击“违规举报”。

碎片内容

第六讲:等差、等比数列的运用公式大全

您可能关注的文档

文章天下+ 关注
实名认证
内容提供者

各种文档应有尽有

相关文档

确认删除?
VIP
微信客服
  • 扫码咨询
会员Q群
  • 会员专属群点击这里加入QQ群
客服邮箱
回到顶部