电脑桌面
添加小米粒文库到电脑桌面
安装后可以在桌面快捷访问

职称证现从事专业明细VIP专享

职称证现从事专业明细_第1页
1/8
职称证现从事专业明细_第2页
2/8
职称证现从事专业明细_第3页
3/8
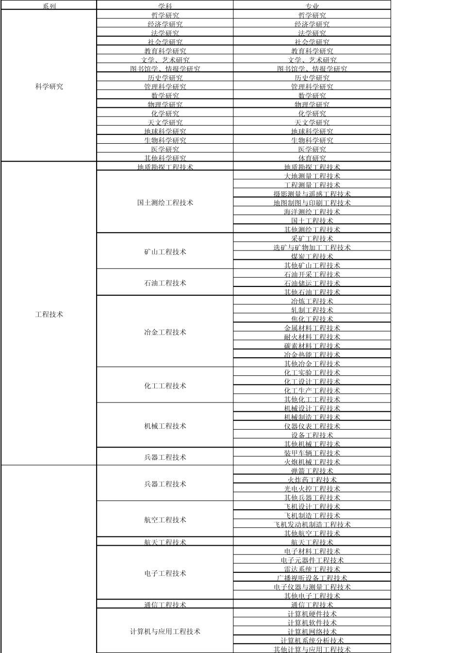
系列学科专业哲学研究哲学研究经济学研究经济学研究法学研究法学研究社会学研究社会学研究教育科学研究教育科学研究文学、艺术研究文学、艺术研究图书馆学、情报学研究图书馆学、情报学研究历史学研究历史学研究管理科学研究管理科学研究数学研究数学研究物理学研究物理学研究化学研究化学研究天文学研究天文学研究地球科学研究地球科学研究生物科学研究生物科学研究医学研究医学研究其他科学研究体育研究地质勘探工程技术地质勘探工程技术大地测量工程技术工程测量工程技术摄影测量与遥感工程技术地图制图与印刷工程技术海洋测绘工程技术国土工程技术其他测绘工程技术采矿工程技术选矿与矿物加工工程技术煤炭工程技术其他矿山工程技术石油开采工程技术石油储运工程技术其他石油工程技术冶炼工程技术轧制工程技术焦化工程技术金属材料工程技术耐火材料工程技术碳素材料工程技术冶金热能工程技术其他冶金工程技术化工实验工程技术化工设计工程技术化工生产工程技术其他化工工程技术机械设计工程技术机械制造工程技术仪器仪表工程技术设备工程技术其他机械工程技术装甲车辆工程技术火炮机械工程技术弹箭工程技术火炸药工程技术光电火控工程技术其他兵器工程技术飞机设计工程技术飞机制造工程技术飞机发动机制造工程技术其他航空工程技术航天工程技术航天工程技术电子材料工程技术电子元器件工程技术雷达系统工程技术广播视听设备工程技术电子仪器与测量工程技术其他电子工程技术通信工程技术通信工程技术计算机硬件技术计算机软件技术计算机网络技术计算机系统分析技术其他计算与应用工程技术科学研究工程技术国土测绘工程技术矿山工程技术石油工程技术兵器工程技术航空工程技术电子工程技术计算机与应用工程技术机械工程技术兵器工程技术冶金工程技术化工工程技术电机与电气工程技术电力拖动与自动控制工程技术电线电缆电工材料工程技术其他电气工程技术发电工程技术输变电工程技术供用电工程技术其它电力工程技术邮政工程技术邮政工程技术广播电视编播工程技术广播电视传输覆盖工程技术电影工程技术其他广播电影电视工程技术汽车运用工程技术船舶运用工程技术水上交通工程技术海上救助打捞工程技术船舶检验工程技术交通运输管理道路与桥梁工程技术其他交通工程技术民用航空维修与适航专业技术航行航空工程技术通用航空技术航空运输工程技术其他民用航空工程技术铁道运输工程技术铁路机务工程技术铁路车辆工程技术铁路电务工程技术其他铁路工程技术...

1、当您付费下载文档后,您只拥有了使用权限,并不意味着购买了版权,文档只能用于自身使用,不得用于其他商业用途(如 [转卖]进行直接盈利或[编辑后售卖]进行间接盈利)。
2、本站所有内容均由合作方或网友上传,本站不对文档的完整性、权威性及其观点立场正确性做任何保证或承诺!文档内容仅供研究参考,付费前请自行鉴别。
3、如文档内容存在违规,或者侵犯商业秘密、侵犯著作权等,请点击“违规举报”。

碎片内容

职称证现从事专业明细

确认删除?
VIP
微信客服
  • 扫码咨询
会员Q群
  • 会员专属群点击这里加入QQ群
客服邮箱
回到顶部