电脑桌面
添加小米粒文库到电脑桌面
安装后可以在桌面快捷访问

2025年春电大经济数学基础形考任务2答案教学提纲

2025年春电大经济数学基础形考任务2答案教学提纲_第1页
1/5
2025年春电大经济数学基础形考任务2答案教学提纲_第2页
2/5
2025年春电大经济数学基础形考任务2答案教学提纲_第3页
3/5
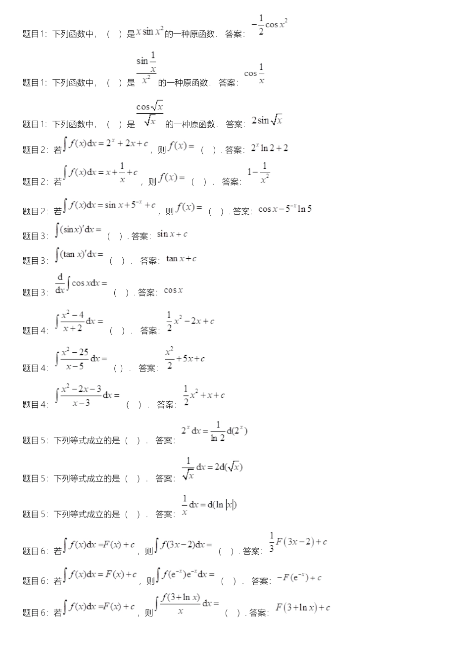
春电大经济数学基础形考任务 2 答案题目 1:下列函数中,( )是的一种原函数. 答案:题目 1:下列函数中,( )是的一种原函数. 答案:题目 1:下列函数中,( )是的一种原函数. 答案:题目 2:若,则( ). 答案:题目 2:若,则( ). 答案:题目 2:若,则( ). 答案:题目 3:( ). 答案:题目 3:( ). 答案:题目 3:( ). 答案:题目 4:( ). 答案:题目 4:( ). 答案:题目 4:( ). 答案:题目 5:下列等式成立的是( ). 答案:题目 5:下列等式成立的是( ). 答案:题目 5:下列等式成立的是( ). 答案:题目 6:若,则( ). 答案:题目 6:若,则( ). 答案:题目 6:若,则( ). 答案:题目 7:用第一换元法求不定积分,则下列环节中对的的是( ). 答案:题目 7:用第一换元法求不定积分,则下列环节中对的的是( ). 答案:题目 7:用第一换元法求不定积分,则下列环节中对的的是( ). 答案:题目 8:下列不定积分中,常用分部积分法计算的是( ). 答案:题目 8:下列不定积分中,常用分部积分法计算的是( ). 答案:题目 8:下列不定积分中,常用分部积分法计算的是( ). 答案:题目 9:用分部积分法求不定积分,则下列环节中对的的是( ). 答案:题目 9:用分部积分法求不定积分,则下列环节中对的的是( ). 答案:题目 9:用分部积分法求不定积分,则下列环节中对的的是( ). 答案:题目 10:( ). 答案:0题目 10:( ). 答案:0题目 10:( ). 答案:题目 11:设,则( ). 答案:题目 11:设,则( ). 答案:题目 11:设,则( ). 答案:题目 12:下列定积分计算对的的是( ). 答案:题目 12:下列定积分计算对的的是( ). 答案:题目 12:下列定积分计算对的的是( ). 答案:题目 13:下列定积分计算对的的是( ). 答案:题目 13:下列定积分计算对的的是( ). 答案:题目 13:下列定积分计算对的的是( ). 答案:题目 14:计算定积分,则下列环节中对的的是( ). 答案:题目 14:( ). 答案:题目 14:( ). 答案:题目 15:用第一换元法求定积分,则下列环节中对的的是( ). 答案:题目 15:用第一换元法求定积分,则下列环节中对的的是( ). 答案:题目 15:用第一换元法求定积分,则下列环节中对...

1、当您付费下载文档后,您只拥有了使用权限,并不意味着购买了版权,文档只能用于自身使用,不得用于其他商业用途(如 [转卖]进行直接盈利或[编辑后售卖]进行间接盈利)。
2、本站所有内容均由合作方或网友上传,本站不对文档的完整性、权威性及其观点立场正确性做任何保证或承诺!文档内容仅供研究参考,付费前请自行鉴别。
3、如文档内容存在违规,或者侵犯商业秘密、侵犯著作权等,请点击“违规举报”。

碎片内容

2025年春电大经济数学基础形考任务2答案教学提纲

您可能关注的文档

确认删除?
VIP
微信客服
  • 扫码咨询
会员Q群
  • 会员专属群点击这里加入QQ群
客服邮箱
回到顶部