电脑桌面
添加小米粒文库到电脑桌面
安装后可以在桌面快捷访问

2025年机械制造基础试题库综合题

2025年机械制造基础试题库综合题_第1页
1/14
2025年机械制造基础试题库综合题_第2页
2/14
2025年机械制造基础试题库综合题_第3页
3/14
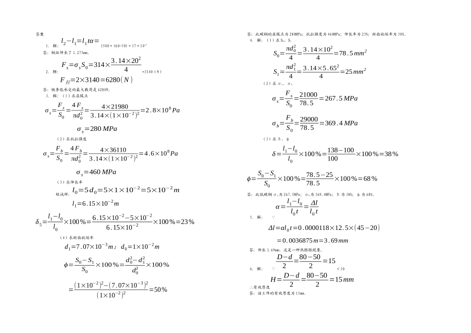
1. 一根 1500mm 的铜丝,温度由 10℃升高到 60℃,问钢丝伸长了多少?(已知线膨胀系数 α=17×10-6/℃)2. 有一根环形链条,用直径为 20mm 的钢条制造,此钢条的 σs=314MPa,求该链条能承受的最大载荷是多少?3. 有一直径为 1×10-2×10-3m。求此钢的屈服点、抗拉强度、伸长率及断面收缩率。4. 有一直径 d0=10mm,L0=100mm 的低碳钢试样,拉伸试验时测得Fs=21KN,Fb=29KN,d1=5.65mm,L1=138mm。求此试样的 σs、σb、δ、ψ。5. 已知钢轨在 20℃时长度为 12.5m,当温度升高到 45℃时,钢轨伸长量是多少?这是一种什么现象(α×10-5/℃)?6. 已知某工件的尺寸:外径为 φ80mm,内径为 φ50mm,长为 30mm,求该工件的有效加热厚度。7. 已知某工件的尺寸:外径为 φ130mm,内径为 φ30mm,高为 40mm,求该工件的有效加热厚度。8. 有一长 80mm、外径 φ78mm、内径为 φ60mm 的圆套管,材料为 45Mn2,在箱式电阻炉内加热,试求加热时间?(已知加热系数 α=1.8min/mm,装炉修正系数 K 为 1.4,公式 τ=αKD)。9. 试计算铁碳合金在共析转变刚结束时,珠光体中铁素体和渗碳体的相对量。10.某工厂仓库积压了一批碳钢,(退火状态),因管理不善而不懂得这批钢材的化学成分。现抽出一根棒料,经金相分析发现其组织为珠光体和铁素体,其中铁素体占 80%,问这批钢材中碳质量分数是多少?11.运用构造钢热态电流透入深度的公式,计算 800℃时 25kHz 和 150kHZ 电流的构造钢热态电流透入深度。12.已知某 20CrMnTi 工件需进行碳氮共渗,其共渗温度为 860℃,渗层规定为 0.68mm,试估算达到渗层规定所需的共渗时间。答案1. 解:l2−l1=l1tα=1500×(60-50)×17×10-6答:铜丝伸长了 1.275mm。2. 解:Fs=σ sS0=314×3.14×2024=3140(N)F拉=2×3140=6280( N )答:链条能承受的最大载荷是 6280N。3. 解:(1)求屈服点σ s=FsS0=4 Fsπd02 =4×219803.14×(1×10−2)2=2.8×108 Paσ s=280 MPa (2)求抗拉强度σ s=FbS0=4 Fbπd02 =4×361103.14×(1×10−2)2=4.6×108Paσ s=460 MPa (3)求伸长率短试样:l0=5d0=5×1×10−2=5×10−2ml1=6.15×10−2mδ5=l1−l0l0×100%=6.15×10−2−5×10−26.15×10−2×100%=23% (4)求断面收缩率d1=7.07×10−3m;d0=1×10−2mϕ= S0−S1S0×100%= d02−d12d02×100%=(1×10−2)2−(7.07×10−3)2(1×10−2)2=50%答:...

1、当您付费下载文档后,您只拥有了使用权限,并不意味着购买了版权,文档只能用于自身使用,不得用于其他商业用途(如 [转卖]进行直接盈利或[编辑后售卖]进行间接盈利)。
2、本站所有内容均由合作方或网友上传,本站不对文档的完整性、权威性及其观点立场正确性做任何保证或承诺!文档内容仅供研究参考,付费前请自行鉴别。
3、如文档内容存在违规,或者侵犯商业秘密、侵犯著作权等,请点击“违规举报”。

碎片内容

2025年机械制造基础试题库综合题

您可能关注的文档

确认删除?
VIP
微信客服
  • 扫码咨询
会员Q群
  • 会员专属群点击这里加入QQ群
客服邮箱
回到顶部