电脑桌面
添加小米粒文库到电脑桌面
安装后可以在桌面快捷访问

新疆普通高校名单

新疆普通高校名单_第1页
1/2
新疆普通高校名单_第2页
2/2
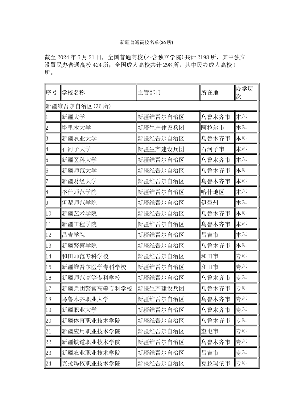
新疆普通高校名单(36 所)截至 2024 年 6 月 21 日,全国普通高校(不含独立学院)共计 2198 所,其中独立设置民办普通高校 424 所;全国成人高校共计 298 所,其中民办成人高校 1所。序号 学校名称主管部门所在地办学层次新疆维吾尔自治区(36 所)1新疆大学新疆维吾尔自治区乌鲁木齐市本科2塔里木大学新疆生产建设兵团阿拉尔市本科3新疆农业大学新疆维吾尔自治区乌鲁木齐市本科4石河子大学新疆生产建设兵团石河子市本科5新疆医科大学新疆维吾尔自治区乌鲁木齐市本科6新疆师范大学新疆维吾尔自治区乌鲁木齐市本科7新疆财经大学新疆维吾尔自治区乌鲁木齐市本科8喀什师范学院新疆维吾尔自治区喀什地区本科9伊犁师范学院新疆维吾尔自治区伊犁州本科10新疆艺术学院新疆维吾尔自治区乌鲁木齐市本科11新疆工程学院新疆维吾尔自治区乌鲁木齐市本科12昌吉学院新疆维吾尔自治区昌吉市本科13新疆警察学院新疆维吾尔自治区乌鲁木齐市本科14和田师范专科学校新疆维吾尔自治区和田市专科15新疆维吾尔医学专科学校新疆维吾尔自治区和田市专科16新疆师范高等专科学校新疆维吾尔自治区乌鲁木齐市专科17新疆兵团警官高等专科学校新疆生产建设兵团乌鲁木齐市专科18乌鲁木齐职业大学新疆维吾尔自治区乌鲁木齐市专科19新疆职业大学新疆维吾尔自治区乌鲁木齐市专科20新疆体育职业技术学院新疆维吾尔自治区乌鲁木齐市专科21新疆应用职业技术学院新疆维吾尔自治区奎屯市专科22新疆铁道职业技术学院新疆维吾尔自治区乌鲁木齐市专科23新疆农业职业技术学院新疆维吾尔自治区昌吉市专科24克拉玛依职业技术学院新疆维吾尔自治区克拉玛依市专科25新疆机电职业技术学院新疆维吾尔自治区乌鲁木齐市专科26新疆轻工职业技术学院新疆维吾尔自治区乌鲁木齐市专科27新疆能源职业技术学院新疆维吾尔自治区教育厅乌鲁木齐市专科28昌吉职业技术学院新疆维吾尔自治区昌吉市专科29伊犁职业技术学院新疆维吾尔自治区伊宁市专科30阿克苏职业技术学院新疆维吾尔自治区阿克苏市专科31巴音郭楞职业技术学院新疆维吾尔自治区库尔勒市专科32新疆建设职业技术学院新疆维吾尔自治区乌鲁木齐市专科33新疆现代职业技术学院新疆维吾尔自治区教育厅乌鲁木齐市专科34新疆天山职业技术学院新疆维吾尔自治区教育厅乌鲁木齐市专科35新疆交通职业技术学院新疆维吾尔自治区乌鲁木齐市专科36新疆石河子职业技术学院新疆生产建设兵团石河子市专科

1、当您付费下载文档后,您只拥有了使用权限,并不意味着购买了版权,文档只能用于自身使用,不得用于其他商业用途(如 [转卖]进行直接盈利或[编辑后售卖]进行间接盈利)。
2、本站所有内容均由合作方或网友上传,本站不对文档的完整性、权威性及其观点立场正确性做任何保证或承诺!文档内容仅供研究参考,付费前请自行鉴别。
3、如文档内容存在违规,或者侵犯商业秘密、侵犯著作权等,请点击“违规举报”。

碎片内容

新疆普通高校名单

您可能关注的文档

领读文化+ 关注
实名认证
内容提供者

传播文化,铸就未来

确认删除?
VIP
微信客服
  • 扫码咨询
会员Q群
  • 会员专属群点击这里加入QQ群
客服邮箱
回到顶部