电脑桌面
添加小米粒文库到电脑桌面
安装后可以在桌面快捷访问

12. 1 杠杆VIP专享

12. 1   杠杆12. 1   杠杆12. 1   杠杆12. 1   杠杆
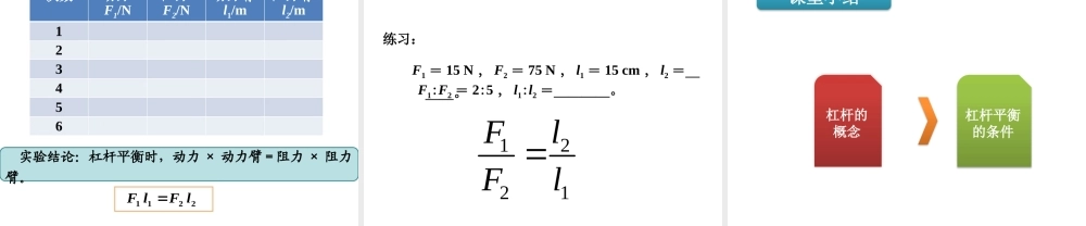
实验一:选取合适的机械将木板上的钉子拔出来实验一:选取合适的机械将木板上的钉子拔出来思考:1. 两次操作中的羊角锤有什么区别?2. 羊角锤在工作时的本质是什么?软把硬把12.1 杠杆生活中一些简单的机械:思考:这些机械工作时有什么共同的特点?绕其转动的固定点有动力和阻力硬棒在力的作用下,能绕固定点转动的硬棒,叫做杠杆。一、杠杆的概念:支 点:杠杆可以绕其转动的点 O 。动 力:使杠杆转动的力 F1 。阻 力:阻碍杠杆转动的力 F2 。F1F2o支 点:杠杆可以绕其转动的点 O 。动 力:使杠杆转动的力 F1 。阻 力:阻碍杠杆转动的力 F2 。实验二:跷跷板试一试:如何让熊二取胜?熊二熊大 熊二熊大熊二熊大熊大熊二光头强方法一方法二思考:哪些因素帮助熊二取胜的? 动力臂:从支点 O 到动力 F1 作用线的垂直距离l1 。阻力臂:从支点 O 到阻力 F2 作用线的垂直距离l2 。F1l1F2l2oF2 阻力L1 动力臂L2 阻力臂动力作用线阻力作用线O 支点F1 动力练习:画力臂二、探究杠杆平衡条件:平衡状态: 静止或匀速转动提出问题:杠杆在满足什么条件时才会平衡?二、杠杆的平衡条件:猜想:( 2 )怎样便于测量力臂? 实验注意事项:( 1 )怎样避免杠杆自重对实验的影响? 支点在杠杆的重心上 调节杠杆在水平位置平衡动力 、动力臂 和阻力、 阻 力臂存在着某种定量关系( 3 )如何调节杠杆在水平位置平衡? 调节平衡螺母 实验结论:杠杆平衡时,动力 × 动力臂 = 阻力 × 阻力臂。次数动力F1/N阻力F2/N动力臂l1/m阻力臂l2/m1234561122F lF l练习:F1:F2 = 2:5 , l1:l2 =____。F1 = 15 N , F2 = 75 N , l1 = 15 cm , l2 =___。1221FlFl课堂小结杠杆的概念杠杆平衡的条件

1、当您付费下载文档后,您只拥有了使用权限,并不意味着购买了版权,文档只能用于自身使用,不得用于其他商业用途(如 [转卖]进行直接盈利或[编辑后售卖]进行间接盈利)。
2、本站所有内容均由合作方或网友上传,本站不对文档的完整性、权威性及其观点立场正确性做任何保证或承诺!文档内容仅供研究参考,付费前请自行鉴别。
3、如文档内容存在违规,或者侵犯商业秘密、侵犯著作权等,请点击“违规举报”。

碎片内容

您可能关注的文档

冬哥小店+ 关注
实名认证
内容提供者

各类学术资料交流学习

相关文档

相关标签

确认删除?
VIP
微信客服
  • 扫码咨询
会员Q群
  • 会员专属群点击这里加入QQ群
客服邮箱
回到顶部