电脑桌面
添加小米粒文库到电脑桌面
安装后可以在桌面快捷访问

2010高三数学高考复习回归课本教案:概率与统计

2010高三数学高考复习回归课本教案:概率与统计_第1页
1/9
2010高三数学高考复习回归课本教案:概率与统计_第2页
2/9
2010高三数学高考复习回归课本教案:概率与统计_第3页
3/9
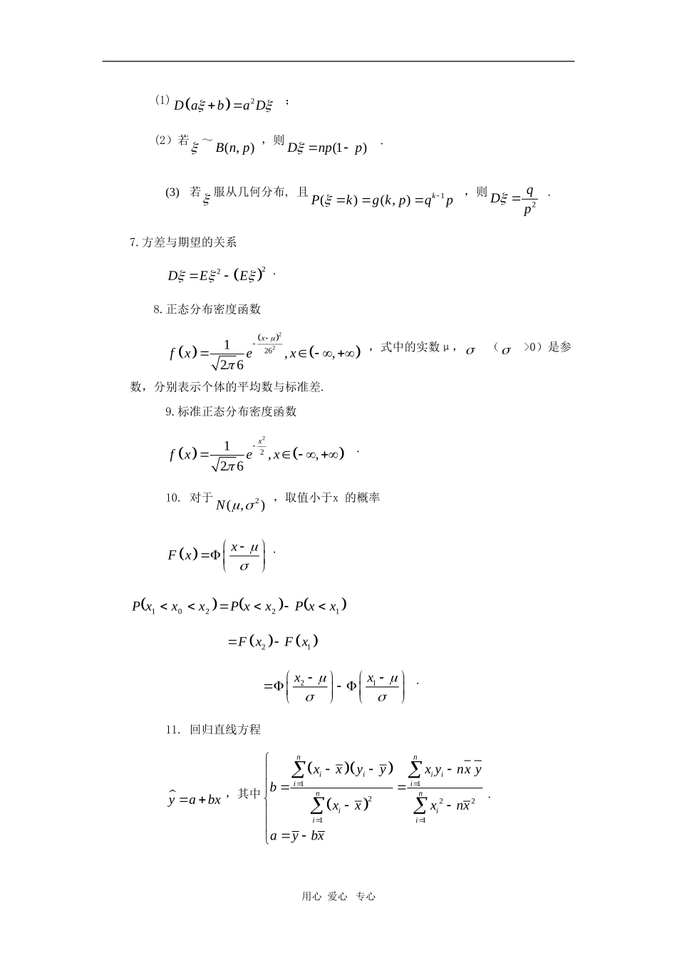
2010 高 考 复 习 数 学 回 归 课 本 : 概 率 与 统 计一 . 考 试 内 容 : 离散型随机变量的分布列. 离散型随机变量的期望值和方差. 抽样方法. 总体分布的估计. 正态分布. 线性回归. 二 . 考 试 要 求 :(1) 了解离散型随机变量的意义,会求出某些简单的离散型随机变量的分布列.(2) 了解离散型随机变量的期望值、方差的意义,会根据离散型随机变量的分布列求出期望值、方差.(3) 会用随机抽样、系统抽样、分层抽样等常用的抽样方法从总体中抽取样本.(4) 会用样本频率分布去估计总体分布.(5) 了解正态分布的意义及主要性质.(6) 了解线性回归的方法和简单应用. 【注意】这部分复习的重点是随机变量的分布列、期望、方差、抽样方法与样本方差、标准方差公式.三 . 基 础 知 识 :1.离散型随机变量的分布列的两个性质(1 )0(1,2,)iPi ;(2 )121PP.2.数学期望1 122nnEx Px Px P 170.数学期望的性质(1 )()( )E abaEb.(2 )若 ~( , )B n p, 则 Enp .(3) 若 服从几何分布, 且1()( , )kPkg k pqp,则1Ep .4.方差2221122nnDxEpxEpxEp5.标准差 =D.6.方差的性质用心 爱心 专心(1)2D aba D;(2)若 ~( , )B n p,则(1)Dnpp .(3) 若 服从几何分布, 且1()( , )kPkg k pqp,则2qDp .7.方差与期望的关系22DEE.8.正态分布密度函数 22261,,2 6xf xex   ,式中的实数μ,(>0)是参数,分别表示个体的平均数与标准差.9.标准正态分布密度函数 221,,2 6xf xex   .10. 对于2( ,)N  ,取值小于x 的概率 xF x.12201xxPxxPxxxP 21F xF x21xx .11. 回归直线方程 yabx ,其中1122211nniiiiiinniiiixxyyx ynx ybxxxnxaybx   .用心 爱心 专心四 . 基 本 方 法 和 数 学 思 想1. 理解随机变量,离散型随机变量的定义,能够写出离散型随机变量的分布列, 由概率的性质可知,任意离散型随机变...

1、当您付费下载文档后,您只拥有了使用权限,并不意味着购买了版权,文档只能用于自身使用,不得用于其他商业用途(如 [转卖]进行直接盈利或[编辑后售卖]进行间接盈利)。
2、本站所有内容均由合作方或网友上传,本站不对文档的完整性、权威性及其观点立场正确性做任何保证或承诺!文档内容仅供研究参考,付费前请自行鉴别。
3、如文档内容存在违规,或者侵犯商业秘密、侵犯著作权等,请点击“违规举报”。

碎片内容

2010高三数学高考复习回归课本教案:概率与统计

您可能关注的文档

文章天下+ 关注
实名认证
内容提供者

各种文档应有尽有

确认删除?
VIP
微信客服
  • 扫码咨询
会员Q群
  • 会员专属群点击这里加入QQ群
客服邮箱
回到顶部