电脑桌面
添加小米粒文库到电脑桌面
安装后可以在桌面快捷访问

2012届高中数学 2.6对正态分布问题思考、解答-----感受数形结合的完美素材 北师大版选修2-3

2012届高中数学 2.6对正态分布问题思考、解答-----感受数形结合的完美素材 北师大版选修2-3_第1页
1/4
2012届高中数学 2.6对正态分布问题思考、解答-----感受数形结合的完美素材 北师大版选修2-3_第2页
2/4
2012届高中数学 2.6对正态分布问题思考、解答-----感受数形结合的完美素材 北师大版选修2-3_第3页
3/4
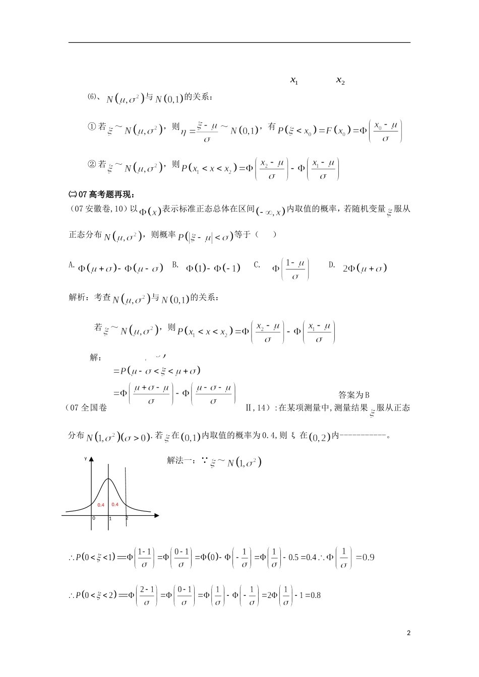
xyO 对正态分布问题思考、解答-----感受数形结合的完美 很长时间以来,几乎没见正态分布题目的身影,但 2007 年高考中,它却在全国Ⅱ卷及几个省市卷中突然亮相。原本简简单单的题目却让众生无从下手,这不得不引起我们对这方面知识思考、重视。在此略谈一下相关知识及有关题目的解题方法与技巧。㈠知识点回顾:⑴ 、 正 态 分 布 概 念 : 若 连 续 型 随 机 变 量的 概 率 密 度 函 数 为,其中为常数,且,则称服从正态分布,简记为~。的图象称为正态曲线。⑵、正态分布的期望与方差若~,则⑶、正态曲线的性质:⑷、在标准正态分布表中相应于的值是指总体取值小于的概率。即 ⑸ 两个重要公式:① ,②1标准正态分布曲线)(0x)(0x)(10x02y10.40.4⑹、与的关系:① 若~,则~,有② 若~,则㈡ 07 高考题再现:(07 安徽卷,10)以表示标准正态总体在区间内取值的概率,若随机变量服从正态分布,则概率等于( )A. B. C. D. 解析:考查与的关系:若~,则 解:答案为 B(07 全国卷Ⅱ,14):在某项测量中,测量结果服从正态分布.若在内取值的概率为 0.4,则 ξ 在内-----------。解法一:∵~21x2x x-1.961.96y00.0250.4750.0250.475解法二:因为曲线的对称轴是直线,所以由图知在内 取值的概率为 0.8 (07 湖南卷,5)设随机变量服从标准正态分布已知,则A. 0.025 B. 0.050 C. 0.950 D. 0.975解法一:∵~ 解法二:因为曲线的对称轴是直线,所以由图知∴1-0.25-0.25=0.950 故答案为:C(07 浙江卷,5)已知随机变量服从标准正态分布,则A. 0.16 B. 0.32 C. 0.68 D. 0.84解法一:∵解法二:因为曲线的对称轴是直线,所以由图知=1-=0.16,04y20.160.163故答案为:A练习 1、设随机变量服从标准正态分布,若,则( ) A. B. 4

1、当您付费下载文档后,您只拥有了使用权限,并不意味着购买了版权,文档只能用于自身使用,不得用于其他商业用途(如 [转卖]进行直接盈利或[编辑后售卖]进行间接盈利)。
2、本站所有内容均由合作方或网友上传,本站不对文档的完整性、权威性及其观点立场正确性做任何保证或承诺!文档内容仅供研究参考,付费前请自行鉴别。
3、如文档内容存在违规,或者侵犯商业秘密、侵犯著作权等,请点击“违规举报”。

碎片内容

2012届高中数学 2.6对正态分布问题思考、解答-----感受数形结合的完美素材 北师大版选修2-3

文章天下+ 关注
实名认证
内容提供者

各种文档应有尽有

确认删除?
VIP
微信客服
  • 扫码咨询
会员Q群
  • 会员专属群点击这里加入QQ群
客服邮箱
回到顶部