电脑桌面
添加小米粒文库到电脑桌面
安装后可以在桌面快捷访问

Module 6 The Tang Poems--Reading 外研版必修8

Module 6 The Tang Poems--Reading 外研版必修8_第1页
1/3
Module 6 The Tang Poems--Reading 外研版必修8_第2页
2/3
Module 6 The Tang Poems--Reading 外研版必修8_第3页
3/3
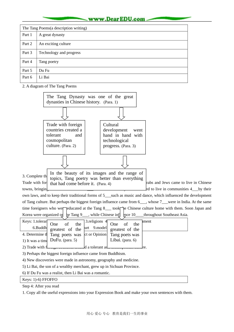
Module 6 The Tang PoemsPart One Teaching DesignPeriod 1 Reading--The Tang Poems▇ Goals● Get the students to know the background of the Tang Poems and the achievements during this time and the representatives. ● To learn to read with strategies● To master important words and phrases▇ Procedures Step 1: Warming up by learning about “the Tang Poems” Before we begin the reading of Module 6, let’s try to understand the background of that time. Please answer some questions.1. Do you know something about the Tang Poems?2. Can you say something about the Tang Dynasty?3. Are there any other great poets at that time? Tell us their names. Li Bai Du Fu Bai Juyi Wang Wei4. What do you think are the influences of the Tang Poems? The Tang Dynasty was one of the great dynasties in Chinese history. In this period, there was a rapid development in politics, economy and culture, especially in Tang Poems. There appeared many great poets and created excellent works.Step 2: Before you readPlease introduce the words for this module, paying attention to the pronunciation of the words, the relationship between their pronunciation and spelling.Practice for words study:Have a spelling quiz. Read every sentence and fill the blanks with proper forms of the words in this module.1) A description of something that uses languages____.2) A ____is a person who trades with others by selling.3) Get out of your ____and you can pick yourself up.4) He is ___from starvation.Keys: image, merchant, shadow, sufferingStep 3: While you read1. Type of writing and summary of The Tang Poems用心 爱心 专心 教育是我们一生的事业The Tang Poems(a description writing)Part 1A great dynastyPart 2An exciting culturePart 3Technology and progress...

1、当您付费下载文档后,您只拥有了使用权限,并不意味着购买了版权,文档只能用于自身使用,不得用于其他商业用途(如 [转卖]进行直接盈利或[编辑后售卖]进行间接盈利)。
2、本站所有内容均由合作方或网友上传,本站不对文档的完整性、权威性及其观点立场正确性做任何保证或承诺!文档内容仅供研究参考,付费前请自行鉴别。
3、如文档内容存在违规,或者侵犯商业秘密、侵犯著作权等,请点击“违规举报”。

碎片内容

Module 6 The Tang Poems--Reading 外研版必修8

您可能关注的文档

文章天下+ 关注
实名认证
内容提供者

各种文档应有尽有

相关文档

确认删除?
VIP
微信客服
  • 扫码咨询
会员Q群
  • 会员专属群点击这里加入QQ群
客服邮箱
回到顶部