电脑桌面
添加小米粒文库到电脑桌面
安装后可以在桌面快捷访问

上海市重点中学2009届高三数学教案:幂函数

上海市重点中学2009届高三数学教案:幂函数_第1页
1/4
上海市重点中学2009届高三数学教案:幂函数_第2页
2/4
上海市重点中学2009届高三数学教案:幂函数_第3页
3/4
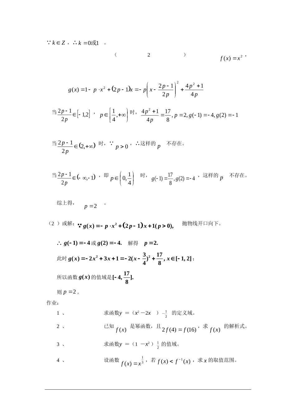
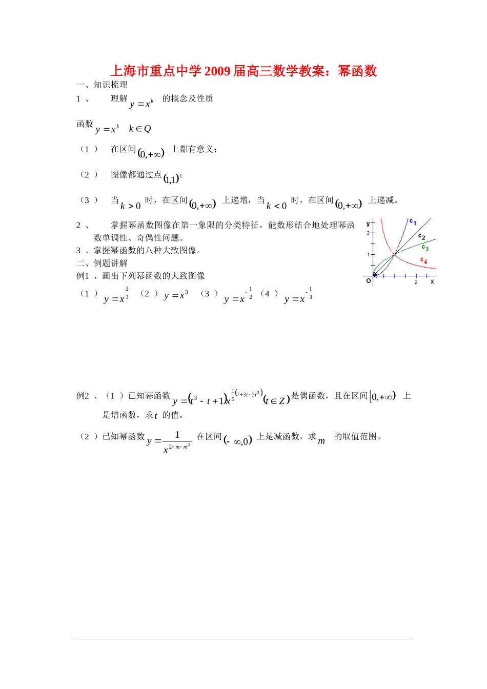
上海市重点中学 2009 届高三数学教案:幂函数一、知识梳理1 、理解kxy 的概念及性质函数kxy Qk (1 )在区间,0上都有意义;(2 )图像都通过点 1,1;(3 )当0k时,在区间,0上递增,当0k时,在区间,0上递减。2 、掌握幂函数图像在第一象限的分类特征,能数形结合地处理幂函数单调性、奇偶性问题。3 、掌握幂函数的八种大致图像。二、例题讲解例1 、画出下列幂函数的大致图像(1 )32xy (2 )3xy (3 )21xy(4 )31xy例2 、(1 )已知幂函数Ztxttytt22375131是偶函数,且在区间,0上是增函数,求t 的值。(2 )已知幂函数221mmxy在区间0,上是减函数,求m的取值范围。例3 、设函数f (x )=x3 , (1 )求它的反函数; (2 )分别求出f- 1 (x )=f (x ),f- 1 (x )>f (x ),f- 1 (x )<f (x )的实数x 的范围.例4 、求函数y =52x+2x 51 +4 (x≥ -32)值域. 解析:设t =x51, x≥ -32,∴t≥ -2 ,则y =t2 +2t +4 =(t +1 )2 +3 . 当t =-1 时,ymin =3 . ∴函数y =52x+2x 51 +4 (x≥ -32)的值域为[3 ,+).点评:这是复合函数求值域的问题,应用换元法.例5 、已知函数22( )()kkf xxkZ ,且(2)(3).ff(1)求k 的值;(2)试判断是否存在正数 p ,使函数 ( )1( )(21)g xp f xpx 在区间[ 1, 2]上的值域为17[ 4,]8。若存在,求出这个 p 的值;若不存在,说明理由。解:(1 ) )3()2(ff,∴022kk,即022 kk, Zk ,∴10或k。 (2)2)(xxf, ppppxpxpxpxg414212121)(222 当2,1212pp,,41p时,1)2(,4)1(,2,8174142ggppp 当,2212pp时, 0p,∴这样的 p不存在。 当1,212pp,即41,0p时,4)2(,817)1(gg,这样的 p不存在。 综上得,2p 。(2 )或解:2( )211(0),g xp xpxp 抛物线开口向下。( 1)4g或 (2)4.g 解得2.p  此时22317( )2312(),[ 1, 2]48g xxxxx ; 所以函数 ( )g x 的值域是17[ 4,].8 则2...

1、当您付费下载文档后,您只拥有了使用权限,并不意味着购买了版权,文档只能用于自身使用,不得用于其他商业用途(如 [转卖]进行直接盈利或[编辑后售卖]进行间接盈利)。
2、本站所有内容均由合作方或网友上传,本站不对文档的完整性、权威性及其观点立场正确性做任何保证或承诺!文档内容仅供研究参考,付费前请自行鉴别。
3、如文档内容存在违规,或者侵犯商业秘密、侵犯著作权等,请点击“违规举报”。

碎片内容

上海市重点中学2009届高三数学教案:幂函数

您可能关注的文档

文章天下+ 关注
实名认证
内容提供者

各种文档应有尽有

相关文档

确认删除?
VIP
微信客服
  • 扫码咨询
会员Q群
  • 会员专属群点击这里加入QQ群
客服邮箱
回到顶部