电脑桌面
添加小米粒文库到电脑桌面
安装后可以在桌面快捷访问

学习和角公式与差角公式时学生常见错误解析

学习和角公式与差角公式时学生常见错误解析_第1页
1/4
学习和角公式与差角公式时学生常见错误解析_第2页
2/4
学习和角公式与差角公式时学生常见错误解析_第3页
3/4
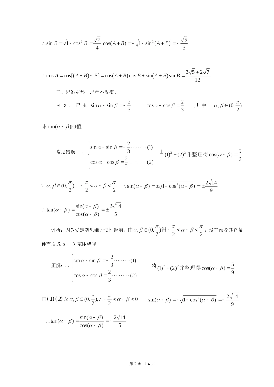
学习和角公式与差角公式时学生常见错误解析 和差角公式在高一数学《三角函数》一章中占有极其重要的地位,是对前面任意角的三角函数的定义以及同角三角函数基本关系的进一步学习理解,也是学习后面知识的基础;同时也培养学生严谨的数学思维能力,以及全面分析问题、处理问题的能力。我在教学中发现学生主要存在着对角的范围不能正确判断,导致一系列错误的产生。现简要列举如下:一、审题不仔细,忽略部分条件。例 1.已知 求 cos2α常 见 错 误 : 由 得导 致 得 到 错 误 结 论 : 评析:对题设条件没有认真阅读,造成审题时遗漏了条件 β<α,导致 α—β 范围扩大,从而产生多解的错误。正解: 二、只看表面,忽略隐含信息。例 2.已知:ΔABC 中,常见错误:或 。评析:忽略了隐含条件角 B 是钝角的范围,造成了 cos(A+B)符号错误。事实上由条件知,所以 cos(A+B)<0正解: 在 ΔABC 中 第 1 页 共 4 页 三、思维定势,思考不周密。例 3 . 已 知 其 中 常见错误: 由 评析:因为受定势思维的惯性影响,,没有顾及其它条件而造成 α-β 范围错误。正解: 将 第 2 页 共 4 页四、以偏概全,顾此失彼。例 4.若常见错误: 或由 得评析:分析问题欠周全,犯以偏概全的错误,导致结果 cosα·sinβ 的范围扩大。正解: 五、死记结论,理解不到位。例 5.求函数常见错误: 评析:对知识的理解不正确,错误地认为 sinx 取最大值时 cosx 取最小值,sinx 取最小值时 cosx取最大值。事实上,形如 y=asinx+bcosx 的值域问题必须用辅助角公式化成一个角的一种三角函数形式后,再求值域。正解: 六、孤立思考问题,未形成综合运用能力。例 6.已知 α、β 为锐角,第 3 页 共 4 页常见错误: (余下过程略)评析:由于综合能力欠缺,缺乏整体考虑的意识,导致 α—β 的范围错误,从而得出sin(α-β)的错误结果。事实上,借助单位圆,利用三角函数线或三角函数图象就得出正确答案。正解: 又 以上是学生学习中对角的范围判断存在的典型问题。引导学生找出其中的原因,并加以纠正,达到举一翻三,触类旁通的目的,从而培养学生养成严谨的科学态度,形成良好的学习数学的习惯有极其重要的作用。第 4 页 共 4 页

1、当您付费下载文档后,您只拥有了使用权限,并不意味着购买了版权,文档只能用于自身使用,不得用于其他商业用途(如 [转卖]进行直接盈利或[编辑后售卖]进行间接盈利)。
2、本站所有内容均由合作方或网友上传,本站不对文档的完整性、权威性及其观点立场正确性做任何保证或承诺!文档内容仅供研究参考,付费前请自行鉴别。
3、如文档内容存在违规,或者侵犯商业秘密、侵犯著作权等,请点击“违规举报”。

碎片内容

学习和角公式与差角公式时学生常见错误解析

您可能关注的文档

确认删除?
VIP
微信客服
  • 扫码咨询
会员Q群
  • 会员专属群点击这里加入QQ群
客服邮箱
回到顶部