电脑桌面
添加小米粒文库到电脑桌面
安装后可以在桌面快捷访问

山东省泰安市肥城市第三中学高中数学 放缩法证明不等式学案 新人教A版选修2-2

山东省泰安市肥城市第三中学高中数学 放缩法证明不等式学案 新人教A版选修2-2_第1页
1/3
山东省泰安市肥城市第三中学高中数学 放缩法证明不等式学案 新人教A版选修2-2_第2页
2/3
山东省泰安市肥城市第三中学高中数学 放缩法证明不等式学案 新人教A版选修2-2_第3页
3/3
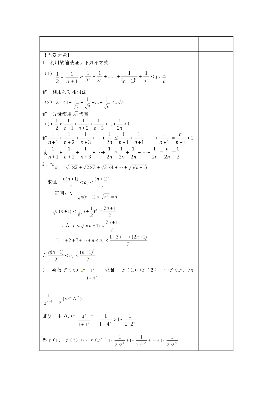
山东省泰安市肥城市第三中学高中数学 放缩法证明不等式学案 新人教 A 版选修 2-2学习内容学习指导即时感悟【学习目标】1.了解放缩法的概念;2.理解用放缩法证明不等式的方法和步骤;3.能够利用放缩法证明简单的不等 式。【学习重点】放缩法证明不等式【学习难点】合理的放缩【回顾·复习】证明的常见方法:综合法、比较法、分析法、反证法、数学归纳法等【自主·合作·探究】一、放缩法1、定义:证明不等式时,通过把不等式中的某些部分的值 简化不等式,从而达到证明的目的,我们把这种方法称为放缩法。 2、 放缩时常使用的方法:① 舍去 或加上一些项,即多项式加上 一些正的值,多项式的值变大,或多项式减上一些正的值,多项式的值变小;② 将分子或分母放大(或缩小):分母变大,分式值减小,分母变小,分式值增大;③ 利用平均值不等式;④ 利用函数单调性放缩。二、典型例题例 1、已知 a、b、c 、d∈R+,求证:解:见选修 4- 5 课本例 2、已知 a、b 是实数,求证:解:见选修 4-5 课本例 3、证明证明:因为左式<1++++…+=1++++…+=2-<2=右式所以不 等式成立。【当堂达标】1、利用放缩法证明下列不等式:(1)解:利用列项相消法(2)解:分母都用代替(3)解或2、设求证: 证明:∵ ∴ ∴ , ∴3 、 函 数 f ( x ) =, 求 证 : f ( 1) +f ( 2 ) +…+f ( n ) >n+.证明:由 f(n)= =1-得 f(1)+f(2)+…+f(n)>.【反思·提升】【拓展·延伸】1、求证:证明:

1、当您付费下载文档后,您只拥有了使用权限,并不意味着购买了版权,文档只能用于自身使用,不得用于其他商业用途(如 [转卖]进行直接盈利或[编辑后售卖]进行间接盈利)。
2、本站所有内容均由合作方或网友上传,本站不对文档的完整性、权威性及其观点立场正确性做任何保证或承诺!文档内容仅供研究参考,付费前请自行鉴别。
3、如文档内容存在违规,或者侵犯商业秘密、侵犯著作权等,请点击“违规举报”。

碎片内容

山东省泰安市肥城市第三中学高中数学 放缩法证明不等式学案 新人教A版选修2-2

您可能关注的文档

文章天下+ 关注
实名认证
内容提供者

各种文档应有尽有

确认删除?
VIP
微信客服
  • 扫码咨询
会员Q群
  • 会员专属群点击这里加入QQ群
客服邮箱
回到顶部