电脑桌面
添加小米粒文库到电脑桌面
安装后可以在桌面快捷访问

答案(第三章)

答案(第三章)_第1页
1/4
答案(第三章)_第2页
2/4
答案(第三章)_第3页
3/4
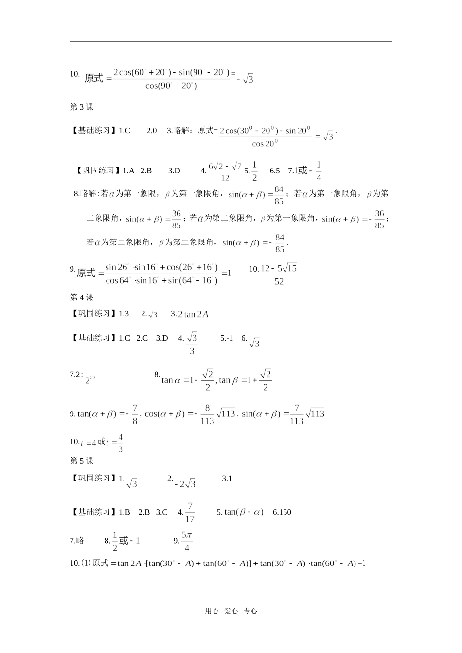
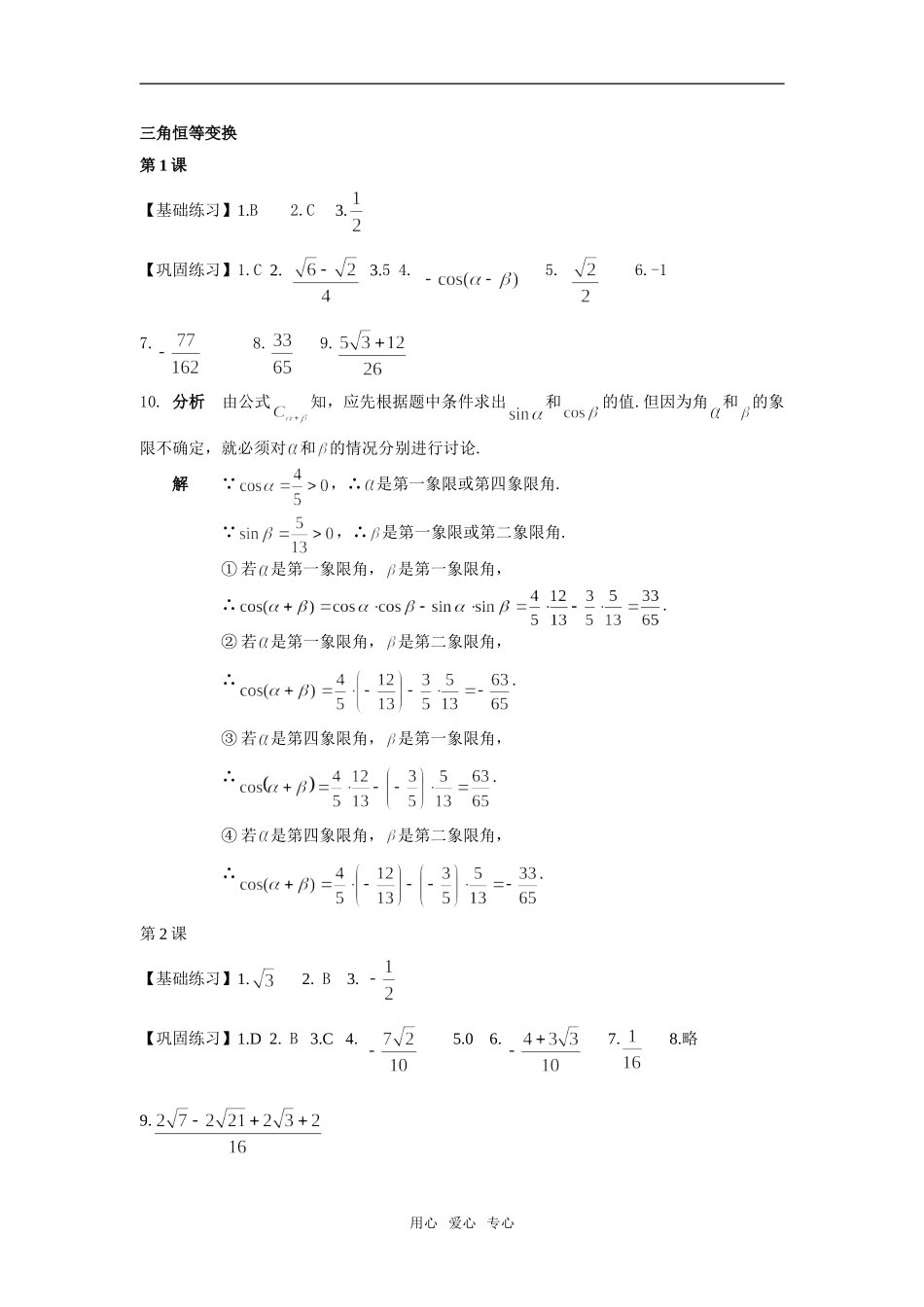
三角恒等变换第 1 课【基础练习】1.B 2.C 3. 【巩固练习】1.C 2. 3.5 4. 5. 6.-1 7. 8. 9. 10. 分析 由公式知,应先根据题中条件求出和的值.但因为角和的象限不确定,就必须对和的情况分别进行讨论.解 ∵,∴是第一象限或第四象限角. ∵,∴是第一象限或第二象限角. ① 若是第一象限角,是第一象限角, ∴. ② 若是第一象限角,是第二象限角, ∴. ③ 若是第四象限角,是第一象限角, ∴. ④ 若是第四象限角,是第二象限角, ∴.第 2 课【基础练习】1. 2. B 3. 【巩固练习】1.D 2. B 3.C 4. 5.0 6. 7. 8.略9.用心 爱心 专心10. =第 3 课【基础练习】1.C 2.0 3.略解:原式=.【巩固练习】1.A 2.B 3.D 4.5. 6.5 7.8.略解:若为第一象限,为第一象限角,;若为第一象限角,为第二象限角,;若为第二象限角, 为第一象限角,; 若为第二象限角,为第二象限角,.9. 10.第 4 课【巩固练习】1.3 2. 3.【基础练习】1.C 2.C 3.D 4. 5.-1 6.7.2; 8.9.,,10.或第 5 课【巩固练习】1. 2. 3.1【基础练习】1.B 2.B 3.C 4. 5. 6.1507.略 8. 9. 10.(1)原式=1用心 爱心 专心(2)原式==第 6 课【基础练习】1. 2. 3.【巩固练习】1.C 2.A 3.B 4. 5.-2sin4 6. 7.2 8.sin2α=;cos2α 9., 10.略第 7 课【基础练习】1.A 2. 3.【巩固练习】1.B 2.A 3. D 4.4 5. 6. 7. 8.2α+β=9. 10.-本章复习A 组:1.B 2.D 3. 4. 5.若 m =1 时,不存在,,;若 m=8 时,,,.6.(1)(2) 7.略 8.(1) (2) 9. 10. ( 1 ) 定 义 域 为( 2 ), ( 3 ) 函 数 的 值 域 为B 组:1.C 2.D 3.2+ 4.- 5. 6.7.(提示:只要求出和的值)用心 爱心 专心8.x=0 或时,;9.(1) 1,(2) 0 10.(1)或,(2) 本章综合测试 A 卷1~12.BBCBC BCAAA DA13. 14. 15. 16.2 17. 18. 19.,在上单增20.(1)0,(2)121.,22.(1)值域为,,;,.(2)递减区间为;(3)略本章测试 B 卷1~10 DDCBA DDCAD BB13.在第四象限 14. 15. 16. 17..18.(1)(2)19.20.(1)(2)21.;;当时,22.;或.用心 爱心 专心

1、当您付费下载文档后,您只拥有了使用权限,并不意味着购买了版权,文档只能用于自身使用,不得用于其他商业用途(如 [转卖]进行直接盈利或[编辑后售卖]进行间接盈利)。
2、本站所有内容均由合作方或网友上传,本站不对文档的完整性、权威性及其观点立场正确性做任何保证或承诺!文档内容仅供研究参考,付费前请自行鉴别。
3、如文档内容存在违规,或者侵犯商业秘密、侵犯著作权等,请点击“违规举报”。

碎片内容

答案(第三章)

您可能关注的文档

确认删除?
VIP
微信客服
  • 扫码咨询
会员Q群
  • 会员专属群点击这里加入QQ群
客服邮箱
回到顶部