电脑桌面
添加小米粒文库到电脑桌面
安装后可以在桌面快捷访问

高一化学练习化学键

高一化学练习化学键_第1页
1/3
高一化学练习化学键_第2页
2/3
高一化学练习化学键_第3页
3/3
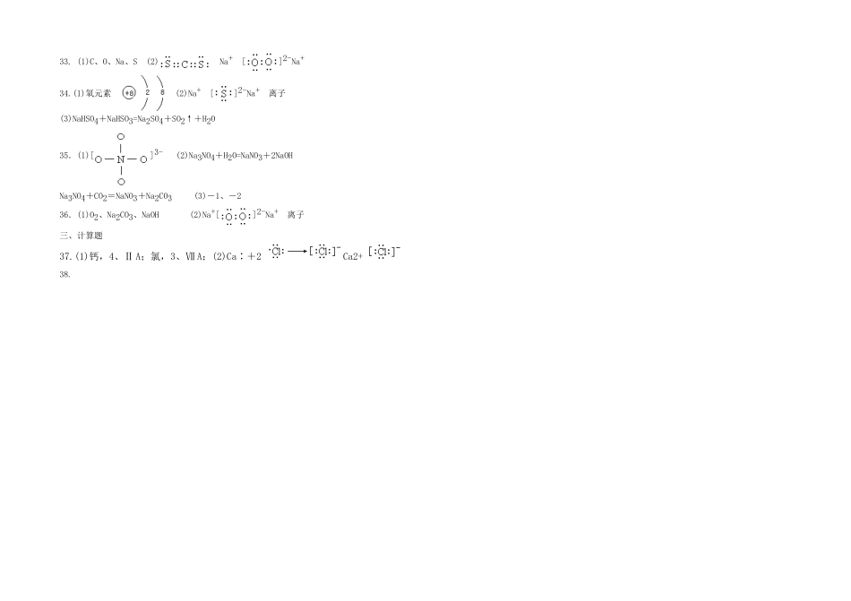
高一化学练习化学键一、选择题(每题有 1 或 2 个选项符合题意)1.有以下电子层构造的各原子中最难构成离子的是2.以下 MgCl2的电子式中属于正确的选项3.以下电子式中,正确的选项4.以下物质中属于共价化合物的是A.Na2O2 B.NaHSO4 C. HNO3 D.I25.以下化合物中全部化学键都是共价键的是A.NH4Cl B.NaOH C.CS2 D.CH46.以下物质中,含有非极性共价键的是A.NH4Cl B.Na2O2 C.NaOH D.H2SO47.以下物质中,具有非极性键的离子化合物是A.H2O2 B.MgF C.NaOH D.Na2O28.以下共价键中,极性最强的是A.HF B.HCl C.HBr D.HI9.以下分子是非极性分子A.CO2 B.H2O C.PH3 D.BF310.关于化学键的以下表述中,正确的选项A.离子化合物可能含共价键 B.共价化合物可能含离子键C.离子化合物中只含离子键 D.共价化合物中不含离子键11.以下表达正确的选项A.含有共价键的化合物确定是共价化合物 B.在气态单质分子中确定存在共价键C.在共价化合物中确定存在共价键 D.只含有离子键的化合物才是离子化合物12.以下关于分子的极性的说法中,不正确的选项A.极性分子中可能含有非极性键 B.非极性分子中可能含有极性键C.极性分子中只含有极性键 D.非极性分子中只含有非极性键13.以下各微粒半径依次增大的是A.F、F-、Cl-、Br- B.Ca2+、K+、Mg2+、Al3+C.Al3+、Al、Mg、K D.Ca2+、K+、Cl-、S2-14.以下化合物中,阳离子与阴离子半径之比最大的是A.LiCl B.NaBr C.KI D.CaF215.以下分子构造中的原子最外层电子都能满足 8 个电子稳定构造的是A.光气(COCl2) B.六氟化硫 C.三氟化硼 D.四氯化碳16.已经知道以下各组元素中,A、B 2 种元素的原子序数,其中可组成 AB2型离子化合物的是A.6 和 8 B.12 和 17 C.11 和 8 D.13 和 1717.以下能说明氯化氢是共价化合物事实的是A.氯化氢不易分解 B.液态氯化氢不导电 C.氯化氢溶于水发生电离 D.氯化氢水溶液显酸性18.以下性质中,能够证明某化合物内确定存在离子键的是A.可溶于水 B.具有较高的熔点 C.水溶液能导电 D.熔融状态能导电19.以下变化中,不需要破坏化学键的是A.加热氯化铵 B.干冰气化 C.食盐溶于水 D.氯化氢溶于水20.以下各组指定原子序数的元素,不能构成 AB2型化合物的是A.6 和 8 B.16 和 8 C.12 和 9 D.11 和 621.与 Ne 的核外电子排布一样的离子跟与 Ar 的核外电子排布...

1、当您付费下载文档后,您只拥有了使用权限,并不意味着购买了版权,文档只能用于自身使用,不得用于其他商业用途(如 [转卖]进行直接盈利或[编辑后售卖]进行间接盈利)。
2、本站所有内容均由合作方或网友上传,本站不对文档的完整性、权威性及其观点立场正确性做任何保证或承诺!文档内容仅供研究参考,付费前请自行鉴别。
3、如文档内容存在违规,或者侵犯商业秘密、侵犯著作权等,请点击“违规举报”。

碎片内容

高一化学练习化学键

您可能关注的文档

领读文化+ 关注
实名认证
内容提供者

传播文化,铸就未来

相关文档

确认删除?
VIP
微信客服
  • 扫码咨询
会员Q群
  • 会员专属群点击这里加入QQ群
客服邮箱
回到顶部