电脑桌面
添加小米粒文库到电脑桌面
安装后可以在桌面快捷访问

2025年重庆市第八中小升初测试题

2025年重庆市第八中小升初测试题_第1页
1/5
2025年重庆市第八中小升初测试题_第2页
2/5
2025年重庆市第八中小升初测试题_第3页
3/5
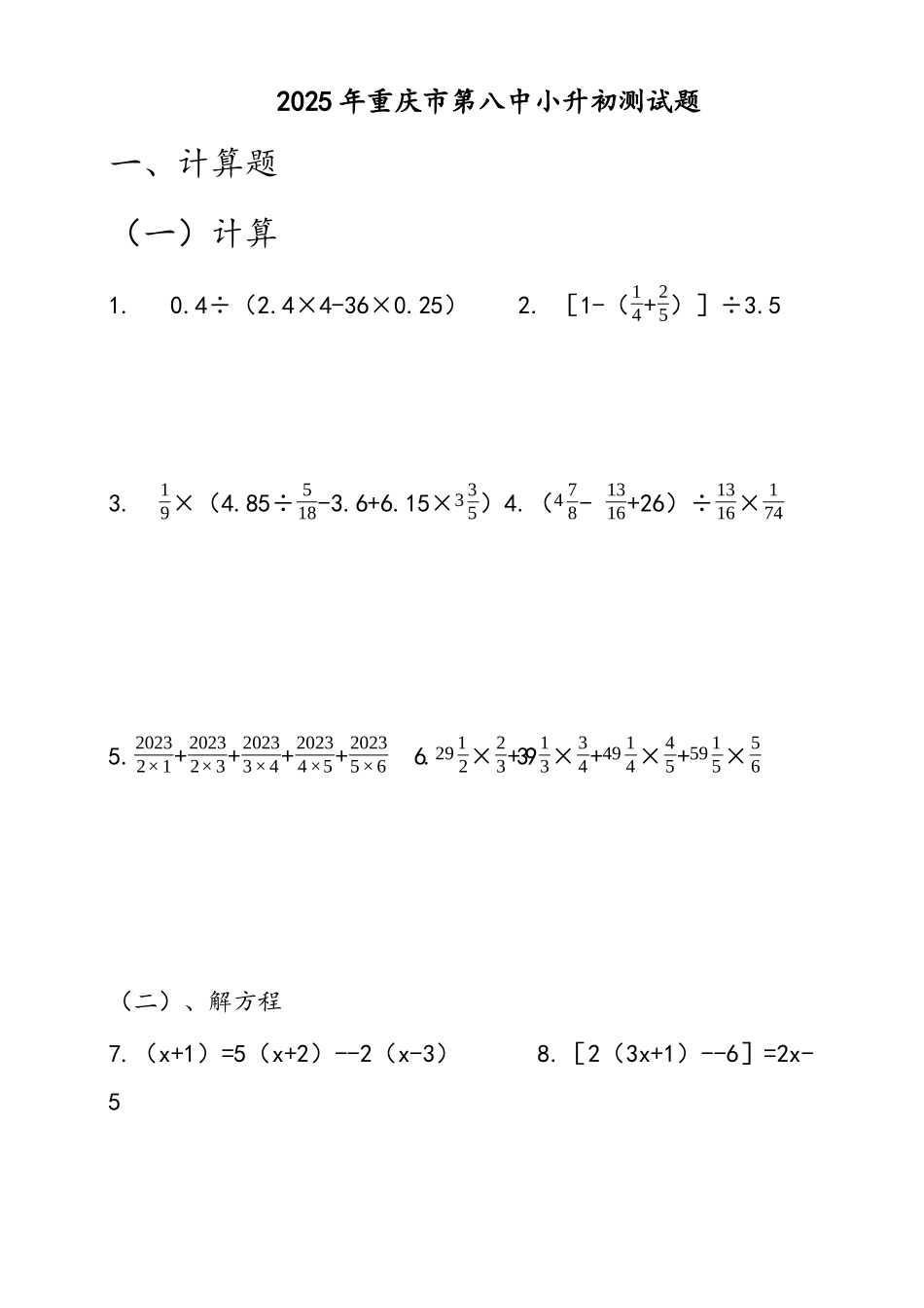
2025 年重庆市第八中小升初测试题一、计算题(一)计算1. 0.4÷(2.4×4-36×0.25) 2. [1-(14+25)]÷3.5 3. 19×(4.85÷518-3.6+6.15×3 35)4.(4 78- 1316+26)÷1316×1745.20232×1+20232×3+20233×4+20234×5+20235×6 6.29 12×23+3913×34+49 14×45+59 15×56(二)、解方程7.(x+1)=5(x+2)--2(x-3) 8.[2(3x+1)--6]=2x-5二、填空9.一根钢管,截去部分是剩下部分的14,剩下部分是原钢管长的______%。10.循环小数 0.181818……化为最简分数是______。11.一个带小数的整数部分与小数部分的值相差 88.11,整数部分的值恰好是小数部分的 100 倍,这个数是______。12.一个长方体的长、宽、高分别是 a 米、b 米和 h 米,假如高增长 3 米,体积增长______立方米。13. 图 1 是一个三角形,沿虚线折叠后得到图 2,这个多边形的面积是原三角形面积的79。已知图 2 中阴影部分的面积和为 15 平方厘米,那么原三角形的面积是______平方厘米。14. 一串数排成一行,它们的规律是这样的:头两个数都是 1,从第三个数开始,每一个数都是前两个数的和,也就是:1、1、2、3、5、8、13、21、34、55、……,问,这串数的前100 个数中(涉及第 100 个数)有______偶数。15. 一个两位数,其十位与个位上的数字互换过后,所得的两位数比原来小 27,则满足条件的两位数有 ______个。16.将 1-9 这九个自然数填入下图的九个小三角形中,使得每个由四个小三角形构成的三角形内的四个数之和都等于 17。 A E B D C (第 16 题) (第 17 题)17.如图:D 是 BC 的三等分点,E 是 AC 的四等分点,三角形 ABC的面积是三角形 ADE 面积的______倍。18.如图是由两个等腰三角形和一个半圆组成的,半圆的半径为12 厘米,大等腰直角三角形与小等腰直角三角形的面积差是______c㎡ 。 三、解答题19.如下图所示,在三角形 ABC 中,DC=3BD,DE=EA,若三角形ABC 的面积是 1,则阴影部分的面积是多少?20.下图中正方形的边长为 6 厘米,求阴影部分的面积。21.将从 1 开始的连续奇数根据如下面那样排成 5 列,假如这些奇数可以一直往下排,请问:2025 这个数在第几行第几列?一 二 三 四 五 1 3 5 7 9 11 13 15 17 19 21 23 2527 29 31 33 35 37 39 41 4345 47 49……22. 200 名学生去参加少先队宣誓活动,一共排成 4 路纵队。已知相邻前后两人之间都相隔...

1、当您付费下载文档后,您只拥有了使用权限,并不意味着购买了版权,文档只能用于自身使用,不得用于其他商业用途(如 [转卖]进行直接盈利或[编辑后售卖]进行间接盈利)。
2、本站所有内容均由合作方或网友上传,本站不对文档的完整性、权威性及其观点立场正确性做任何保证或承诺!文档内容仅供研究参考,付费前请自行鉴别。
3、如文档内容存在违规,或者侵犯商业秘密、侵犯著作权等,请点击“违规举报”。

碎片内容

2025年重庆市第八中小升初测试题

确认删除?
VIP
微信客服
  • 扫码咨询
会员Q群
  • 会员专属群点击这里加入QQ群
客服邮箱
回到顶部