电脑桌面
添加小米粒文库到电脑桌面
安装后可以在桌面快捷访问

国际软工1302班《离散数学》第一份

国际软工1302班《离散数学》第一份_第1页
1/8
国际软工1302班《离散数学》第一份_第2页
2/8
国际软工1302班《离散数学》第一份_第3页
3/8
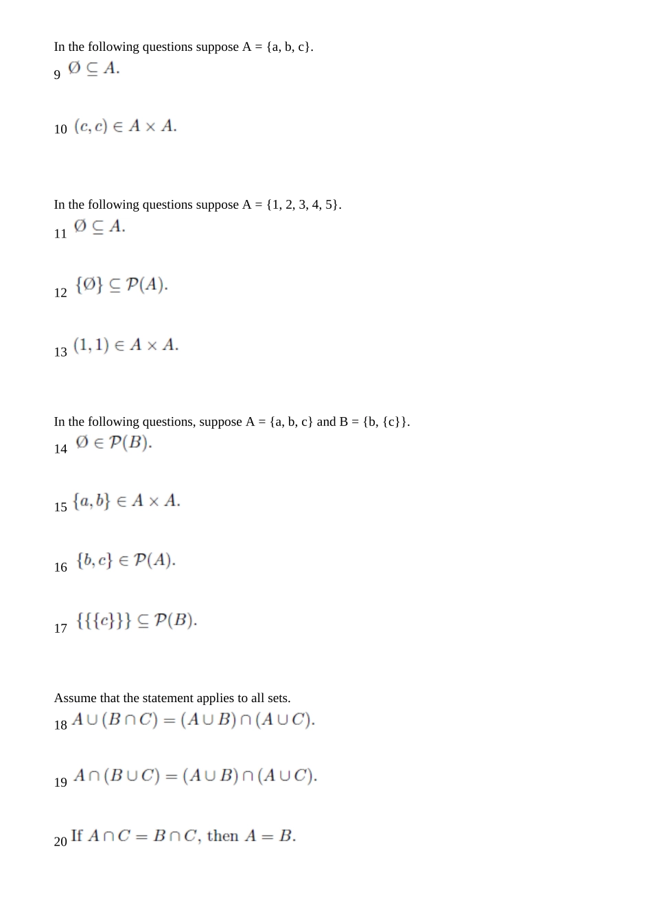
Final-Exam of International College, Semester 2 of 2025-2025 Discrete Mathematics Test form: Open-book exam Teachers: David Paper created by: David For Grade 2025 Undergraduate (Bachelor) Whether scratch paper needed: N (√ )/Y ( )Major: ____________Class: ____ Name: ________Student No.: _________ Class No.: ____PartsIIIIIITotalSignatureScoreNotes: 1 Answers need to be written on the exam papers. 2 Students are not allowed to take away exam papers out of the exam room.Part I- True or False (20 points, 1 points for each) 1.If T is a tree with 17 vertices, then there is a simple path in T of length 17.2.There is a tree with degrees 3, 3, 2, 2, 1, 1, 1, 1.3.If two trees have the same number of vertices and the same degrees, then the two trees are isomorphic.4.Every tree is planar.5.1 + 1 = 3 if and only if 2 + 2 = 3. 6.If 2 + 1 = 3, then 2 = 3 − 1. In the following questions suppose A = {x, y} and B = {x, {x}}. 7 8 ScoreSignature In the following questions suppose A = {a, b, c}. 9 10 In the following questions suppose A = {1, 2, 3, 4, 5}.11 12 13 In the following questions, suppose A = {a, b, c} and B = {b, {c}}. 14 15 16 17 Assume that the statement applies to all sets.18 19 20 Part II - Short answer questions (40 points, 2 points for each)What is the negation of the propositions in the following?21 Abby has more than 300 friends on facebook.22. Prove that (q (p –>¬q)) –> ¬p is a tautology using propositional equivalence and the laws of logic.23. Suppose you are allowed to give either a direct proof or a proof by contraposition of the following: if 3n + 5 is even, then n is odd. Which type of proof would be easier to give? Explain why.24. For each of...

1、当您付费下载文档后,您只拥有了使用权限,并不意味着购买了版权,文档只能用于自身使用,不得用于其他商业用途(如 [转卖]进行直接盈利或[编辑后售卖]进行间接盈利)。
2、本站所有内容均由合作方或网友上传,本站不对文档的完整性、权威性及其观点立场正确性做任何保证或承诺!文档内容仅供研究参考,付费前请自行鉴别。
3、如文档内容存在违规,或者侵犯商业秘密、侵犯著作权等,请点击“违规举报”。

碎片内容

国际软工1302班《离散数学》第一份

确认删除?
VIP
微信客服
  • 扫码咨询
会员Q群
  • 会员专属群点击这里加入QQ群
客服邮箱
回到顶部