电脑桌面
添加小米粒文库到电脑桌面
安装后可以在桌面快捷访问

高中数学 参数法的解题思想素材

高中数学 参数法的解题思想素材_第1页
1/7
高中数学 参数法的解题思想素材_第2页
2/7
高中数学 参数法的解题思想素材_第3页
3/7
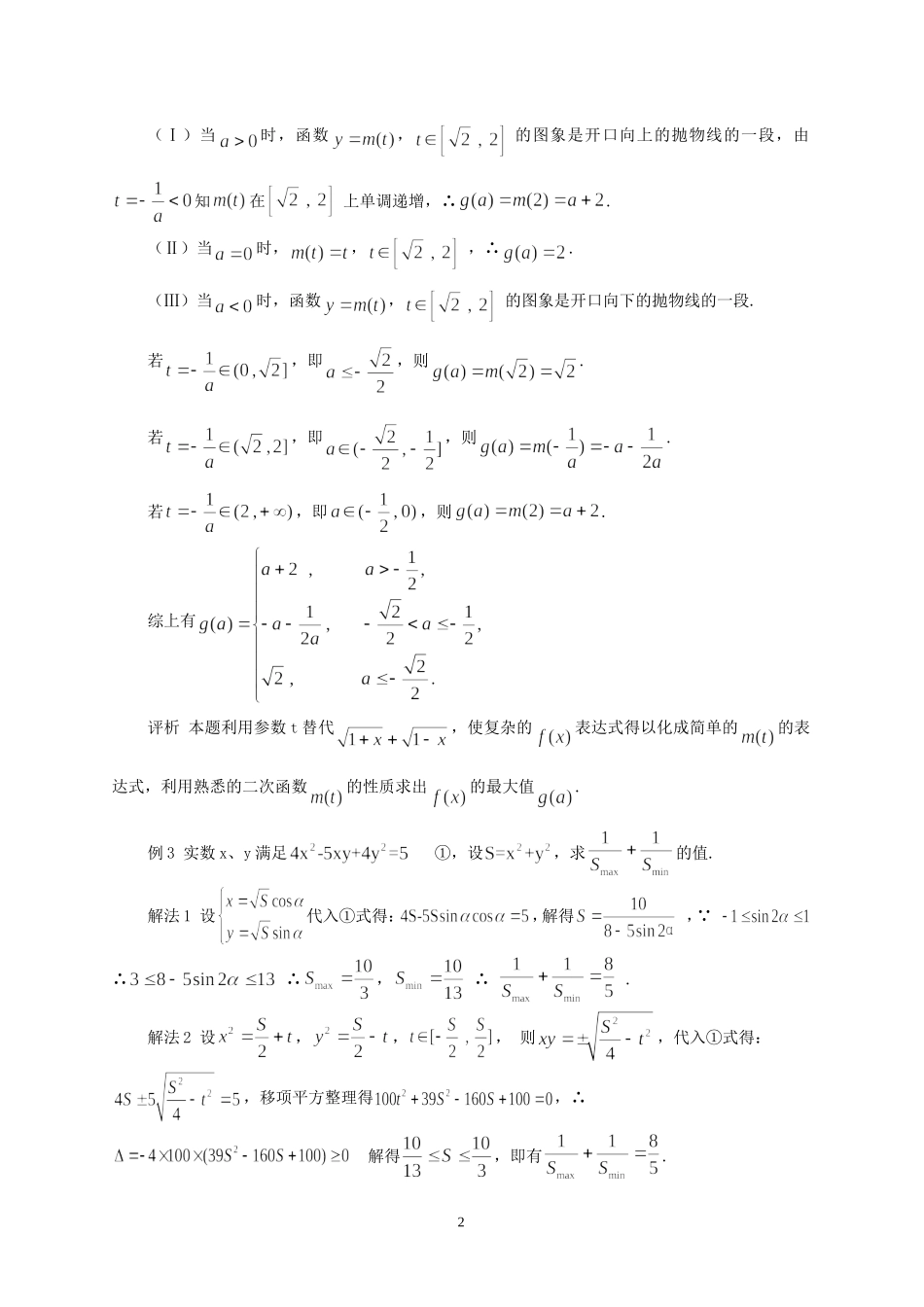
参数法在数学解题中的应用数学问题中有这样的量,它本身不是题目所求的最终结果,通常题目并未给出,但它在解题过程中参与运算,起着连结已知与未知,转化问题形式,替代复杂式子,充当待定因子等作用,这样的量称为参变量.应用参变量解数学题的方法称为参数法.参数法在解题过程中常表现为“设而不求”,“整体替代”,“换元法”,“待定系数法”等.引入参数便于揭示变量之间的内在联系,变与不变在一定条件下可以相互转化,表现出较大的能动作用和活力,从而沟通题中各量之间的内在联系或改变数量关系的结构,进而求出所需要确定的常数或变量.应用参数法首先要选取恰当参数,引进参数后,要能使问题获解,这是选取参数最基本的原则.其次,引进参数必须合理,除了要考虑条件与结论的特点外,还必须注意某些量的取值范围,必要时还要对参数的变化范围进行讨论.另外,要注意原问题并非关于参数的问题,参数并不是直接研究对象,它只起“桥梁”和转化作用,所以当求得间接解后要倒回去确定原问题的解.- 下面通过一些例题解析,以帮助同学们体会参数法的思想. 一、 参数法在函数问题中的应用 例 1 已知,求解 设, 则, 即, 从 而, 因 此.评析 本题引进了参数 t 代替,先求出,而后进一步求出.例 2 (2006 江苏高考试题)设 a 为实数,设函数的最大值为.(1)设,求 t 的取值范围,并把表示为 t 的函数.(2)求. (3)略 解 (1) ,∴要使 t 有意义必须,即.又 , ① ∴t 的取值范围是.由①得,∴,.(2)由题意知为函数,的最大值.注意到直线是抛物线的对称轴,分以下几种情况讨论:1(Ⅰ)当时,函数,的图象是开口向上的抛物线的一段,由知在上单调递增,∴.(Ⅱ)当时,,,∴.(Ⅲ)当时,函数,的图象是开口向下的抛物线的一段.若,即,则.若,即,则.若,即,则.综上有 评析 本题利用参数 t 替代,使复杂的表达式得以化成简单的的表达式,利用熟悉的二次函数的性质求出的最大值.例 3 实数 x、y 满足 ①,设,求的值.解法 1 设代入①式得:,解得 , ∴ ∴, ∴ .解法 2 设,,, 则,代入①式得:,移项平方整理得,∴ 解得,即有.2解法 3 设代入①式得:,∴.从而,∴,即有.评析 解法 1 引进参数 α,采用了“三角换元法”,将问题转化为熟悉的简单三角函数问题;解法 2 引进参数 t,采用了“均值换元法”,将问题转化为用判别式求解的问题;解法 3 引进两个参数m,n,...

1、当您付费下载文档后,您只拥有了使用权限,并不意味着购买了版权,文档只能用于自身使用,不得用于其他商业用途(如 [转卖]进行直接盈利或[编辑后售卖]进行间接盈利)。
2、本站所有内容均由合作方或网友上传,本站不对文档的完整性、权威性及其观点立场正确性做任何保证或承诺!文档内容仅供研究参考,付费前请自行鉴别。
3、如文档内容存在违规,或者侵犯商业秘密、侵犯著作权等,请点击“违规举报”。

碎片内容

高中数学 参数法的解题思想素材

您可能关注的文档

确认删除?
VIP
微信客服
  • 扫码咨询
会员Q群
  • 会员专属群点击这里加入QQ群
客服邮箱
回到顶部