电脑桌面
添加小米粒文库到电脑桌面
安装后可以在桌面快捷访问

SG-018单位工程质量竣工验收记录VIP专享

SG-018单位工程质量竣工验收记录_第1页
1/3
SG-018单位工程质量竣工验收记录_第2页
2/3
SG-018单位工程质量竣工验收记录_第3页
3/3
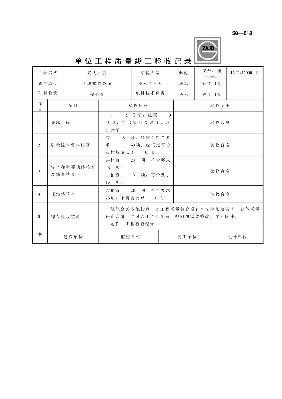
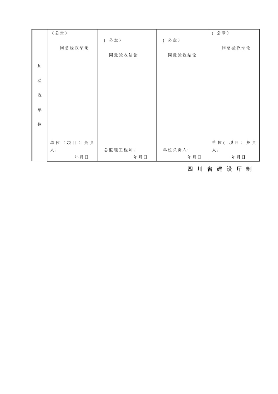
SG—018单 位 工 程 质 量 竣 工 验 收 记 录工 程 名 称光 明 大 厦结 构 类 型框 剪层 数 /建筑 面 积15 层 /15000 ㎡施 工 单 位大 华 建 筑 公 司技 术 负 责 人马 军开 工 日 期项 目 负 责人程 小 春项 目 技 术 负 责人马 元竣 工 日 期序号项 目验 收 记 录验 收 结 论1分 部 工 程共 9 分 部 , 经 查 9 分 部 , 符 合 标 准 及 设 计 要 求 9 分 部验 收 合 格2质 量 控 制 资 料 核 查共 43 项 , 经 审 查 符 合 要求 43 项 ,经 核 定 符 合法 律 规 范 要 求 0 项验 收 合 格3安 全 和 主 要 功 能 核 查及 抽 查 结 果共 核 查 23 项 , 符 合 要 求 23 项 ;共 抽 查 15 项 , 符 合 要 求 15 项 ;验 收 合 格4观 感 感 验 收共 抽 查 26 项 , 符 合 要 求 26 项 , 不 符 合 要 求 0 项 .验 收 合 格5综 合 验 收 结 论经 综 合 验 收 组 检 查 , 该 工 程 质 量 符 合 设 计 和 法 律 规 范 要 求 , 总 体 质 量评 定 合 格 .同 时 该 工 程 存 在 着 一 些 问 题 需 要 整 改 , 详 见 附 件 。附 件 :工 程 检 查 记 录参建 设 单 位监 理 单 位施 工 单 位设 计 单 位加验收单位( 公 章 )同 意 验 收 结 论单 位 ( 项 目 ) 负 责人 :年 月 日(公 章 )同 意 验 收 结 论总 监 理 工 程 师 :年 月 日(公 章 )同 意 验 收 结 论单 位 负 责 人 :年 月 日(公 章 )同 意 验 收 结 论单 位 (项 目 ) 负 责人 :年 月 日四 川 省 建 设 厅 制SG-018 填写说明-、本表为单位工程质量竣工验收进行综合质量评定时使用.二、单位工程完工后,施工单位应自行组织有关人员进行检查评定,并向建设单位提交工程验收报告;建设单位接到工程验收报告后应由建设单位(项目)负责人组织施工(含分包单位)、设计、监理等单位(项目)负责人进行单位(子单位)工程验收。三、单位工程质量验收应符合下列规定:1.单位工程所含分部工程的质量均应验收合格。2.质量控制资料应完整。3.单位工程所含分部工程有关安全和功能的检测资料完整。4.主要功能项目的抽查结果应符合相...

1、当您付费下载文档后,您只拥有了使用权限,并不意味着购买了版权,文档只能用于自身使用,不得用于其他商业用途(如 [转卖]进行直接盈利或[编辑后售卖]进行间接盈利)。
2、本站所有内容均由合作方或网友上传,本站不对文档的完整性、权威性及其观点立场正确性做任何保证或承诺!文档内容仅供研究参考,付费前请自行鉴别。
3、如文档内容存在违规,或者侵犯商业秘密、侵犯著作权等,请点击“违规举报”。

碎片内容

SG-018单位工程质量竣工验收记录

确认删除?
VIP
微信客服
  • 扫码咨询
会员Q群
  • 会员专属群点击这里加入QQ群
客服邮箱
回到顶部