电脑桌面
添加小米粒文库到电脑桌面
安装后可以在桌面快捷访问

SKYCLUB空调工程VIP免费

SKYCLUB空调工程_第1页
1/10
SKYCLUB空调工程_第2页
2/10
SKYCLUB空调工程_第3页
3/10
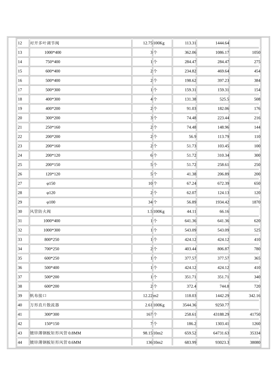
SKYCLUB空调工程序号子目名称工程量单位实物量报价主材费单价合价一、空调电气1砖.砼结构暗配pvc254.49100m667.882998.761302.12砖.砼结构暗配pvc2014.16100m486.126883.423256.83动力线路BV-4mm212.62100m160.822029.611536.994动力线路BV-2.535100m118.134134.482978.855动力线路BV-135100m74.042591.391487.156pvc软管DN250.910m220.91198.8235.17pvc软管DN2019.210m165.433176.23556.88接线盒暗装塑料11.910个45.73544.22190.49开关盒暗装塑料13.210个42.54561.53211.210调速开关13.210套849.7911217.211029611风机盘检查接线安装132台12.281621.0212风机箱检查接线安装10台8.1481.4213控制(箱)31台20901.8362705.496000014电力电缆VV22-3*240+2*1201010m3827.4738274.653700015电力电缆VV22-3*50+2*251010M931.019310.059000分部工程小计146328.3127851.39二、空调风系统1单层百叶新风口8.23m247.13387.8621000*4003个402.41207.211673750*4001个320.68320.683104600*4002个299.99599.985805500*4002个237.93475.854606500*3001个1501501457单层百叶回风口0.12100Kg4533.08543.978800*3002个217.24434.474209600*3001个170.68170.6816510500*3001个152.06152.0614711400*2503个135.51406.5439312对开多叶调节阀12.75100Kg113.311444.64131000*4003个362.061086.17105014750*4001个284.47284.4727515600*4002个234.82469.6445416500*4002个198.62397.2338417500*3001个159.31159.3115418400*3004个131.38525.550819400*2002个91.03182.0617620300*2003个74.48223.4421621250*1602个74.48148.9614422200*2002个56.9113.7911023200*1602个51.73103.4510024200*1206个51.72310.3430025200*1505个51.72258.6125026120*1205个41.38206.8920027φ15010个67.24672.3965028φ1202个62.07124.1312029φ10034个56.891934.42187030风管防火阀1.5100Kg44.1166.16311000*4001个641.36641.36620321000*3001个543.09543.0952533800*2501个424.12424.1241034700*2502个403.44806.8778035600*2501个377.57377.5736536500*4001个424.12424.1241037500*2001个351.71351.7134038600*2002个372.4744.872039帆布接口12.22m2118.031442.29342.1640方形直片散流器2.61100Kg3544.369250.7741300*300167个258.6143188.294175042150*1507个186.21303.41126043镀锌薄钢板矩形风管0.8MM98.1510m2659.5264731.633533444镀锌薄钢板矩形风管0.6MM13610m2683.9993023.33808045静压箱3100Kg211.01633.03461000*900*4001个837.9837.9810471250*900*5001个1013.761013.7698048800*500*6001个548.26548.2653049风机盘管回风箱38.910m2659.5225655.331400450风机盘管百叶风口24m2121.942926.4951480*1702个91.03182.0617652580*1702个108.62217.2321053680*1707个124.13868.9484054800*17017个136.552321.31224455900*17021个155.173258.523150561200*17042个186.27820.447560571300*17010个201.722017.181950581440*1253个155.17465.545059风机盘管送风口1240*1258个258.612068.9200060940*12519个155.172948.18285061卫生间通风器φ100421台110.094623.7336062φ200391台151.475907.19468063金属软风管φ10015.543m2211.553288.191476.5964金属软风管φ20026.125m2187.464897.471873.1665Φ100mmUPVC管4.910m320.981572.82857.566Φ150mmUPVC管2.7710m550.671525.351024.967镀锌薄钢板矩形风管0.6MM2510m2683.9917099.87700068轴流式通风机安装7#21台6817.7613635.521300069φ800风管防火阀园形0.3100Kg6971.632091.492000.170帆布接口1.5m2118.05177.074271镀锌薄钢板圆形风管1.2MM610m2947.75686.18336072风口φ8005m2307.811539.07126073通风管道玻璃棉δ=30mm70.4立方米1089.176672.336688074设备支架1.5100Kg587.13880.742075人工金属结除锈(每100kg)轻锈74100kg14.271055.9176金属结构刷红丹防锈漆二遍74100kg21.621599.8877新风机组ZK3D-28-4YH11台7722.247722.24676278新风机组ZK3.5D-29*4YH21台9436.3318872.661683879新风机组ZK2D-21*4YH21台6457.1212914.231107880新风机组ZK2.5D-27*4YH11台7188.477188....

1、当您付费下载文档后,您只拥有了使用权限,并不意味着购买了版权,文档只能用于自身使用,不得用于其他商业用途(如 [转卖]进行直接盈利或[编辑后售卖]进行间接盈利)。
2、本站所有内容均由合作方或网友上传,本站不对文档的完整性、权威性及其观点立场正确性做任何保证或承诺!文档内容仅供研究参考,付费前请自行鉴别。
3、如文档内容存在违规,或者侵犯商业秘密、侵犯著作权等,请点击“违规举报”。

碎片内容

SKYCLUB空调工程

确认删除?
VIP
微信客服
  • 扫码咨询
会员Q群
  • 会员专属群点击这里加入QQ群
客服邮箱
回到顶部