电脑桌面
添加小米粒文库到电脑桌面
安装后可以在桌面快捷访问

MBA数学致胜十大法宝(doc 12页)VIP免费

MBA数学致胜十大法宝(doc 12页)_第1页
1/12
MBA数学致胜十大法宝(doc 12页)_第2页
2/12
MBA数学致胜十大法宝(doc 12页)_第3页
3/12
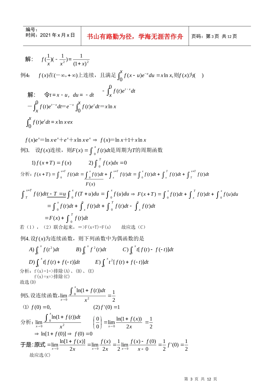
第1页共12页编号:时间:2021年x月x日书山有路勤为径,学海无涯苦作舟页码:第1页共12页MBA数学致胜十大法宝选择题根本原则:用最少的条件找出正确或错误的选项,若无法从正面直接找到正确答案,可以从反面排除错误答案,剩下的那个答案就是正确答案了。充分性判断:找等价转化,一般用逆向思维问题求解:反命题,排除法,一般用代特值的方法法宝一:巧妙运用特值法这种方法适合题目中的参数没有范围限制,提干中的命题对于有限范围的值都是成立的,所以我们可以取特定的值进行验证,一般通过这种方法去找题干中的反例来排除选项,属于排除法的范畴。具体又可以分为以下两种情况。(1)(1)代入简单的特殊值进行排除例()(2003年MBA考题第4题)(1),1,成等差数列(2),1,成等比数列答案E解析:对于条件(1)和条件(2),都可以设a=b=1,这时条件(1)和条件(2)都满足,但题目的结论并不满足。所以,这两个条件单独或者联立起来都不是充分的。(2)一遇到选择变量范围的题目(一般在初数和微积分中常见),立即用特值进行排除。选取特值的优先顺序如下:特值:X=0,1,-1,边界值a,b,其它具有分辨性的数值解:选x=07<10OK!从而排除C、E、A再代入边界值从而排除D于是答案不言自明,选B()解:代入k=0,1>0,OK!满足题干,故选E,只需5秒钟例3.若a(b–c),b(c–a),c(a–b)组成以q为公比的等比数列()(1)a≠b≠c且a.b.c∈R(2)a.b.c∈Rb≠c解:代入a=0因为等比数列的任何一个元素都不可能为零NO!选(E)例4.不等式5≤|x2-4|≤x+2的解为()A)x=-3B)x=2C)x=3D)x∈[1,3]E)(-∞,-3)∪(3,+∞)3122baba2a2ba1b129211)(29211)(29)(29211)(211)()(10431xxExDxCxBxAxx或解为:不等式例!101029NOx的取值范围对一切实数都成立,则、不等式例kkkxkx011222250)(kA250)(kkB或2150)(kC2150)(kkD或均不正确DCBAE,,,)(第2页共12页第1页共12页编号:时间:2021年x月x日书山有路勤为径,学海无涯苦作舟页码:第2页共12页解:代入x=25≤0≤4NO!排除B、D代入x=35≤5≤5OK!排除A、E此时只剩正确答案(C)练习:方程有三个不同实根,则a的取值为()(A)-2F(x+T)=F(x)故应选(C)分析:f(x)=1=>排除(A)、(B)、(E)f(x)=x=>排除(C)故选(D)故应选(C)22)1(1)1)(1(xxxf+=-解:)()(,ln)(0)()(4为则上连续,且满足,-在:例xfxxdueuxfxxfu=-,-=解:令dtduuxtdtetfxxt--)(0xxdtetfxedtetfxtxxtln)(0)(0==---exxxdtetfxt·ln)(0=xxxxfexxeexexfxxxxln1ln)(·ln·ln)(++=++=0)()2)()()1)()()(.300TxdxxfxfTxfTdttfxFxf的周期函数是周期为连续,...

1、当您付费下载文档后,您只拥有了使用权限,并不意味着购买了版权,文档只能用于自身使用,不得用于其他商业用途(如 [转卖]进行直接盈利或[编辑后售卖]进行间接盈利)。
2、本站所有内容均由合作方或网友上传,本站不对文档的完整性、权威性及其观点立场正确性做任何保证或承诺!文档内容仅供研究参考,付费前请自行鉴别。
3、如文档内容存在违规,或者侵犯商业秘密、侵犯著作权等,请点击“违规举报”。

碎片内容

MBA数学致胜十大法宝(doc 12页)

您可能关注的文档

中小学文库+ 关注
实名认证
内容提供者

精品资料应用尽有

确认删除?
VIP
微信客服
  • 扫码咨询
会员Q群
  • 会员专属群点击这里加入QQ群
客服邮箱
回到顶部