电脑桌面
添加小米粒文库到电脑桌面
安装后可以在桌面快捷访问

圆的极坐标方程VIP免费

圆的极坐标方程_第1页
1/12
圆的极坐标方程_第2页
2/12
圆的极坐标方程_第3页
3/12
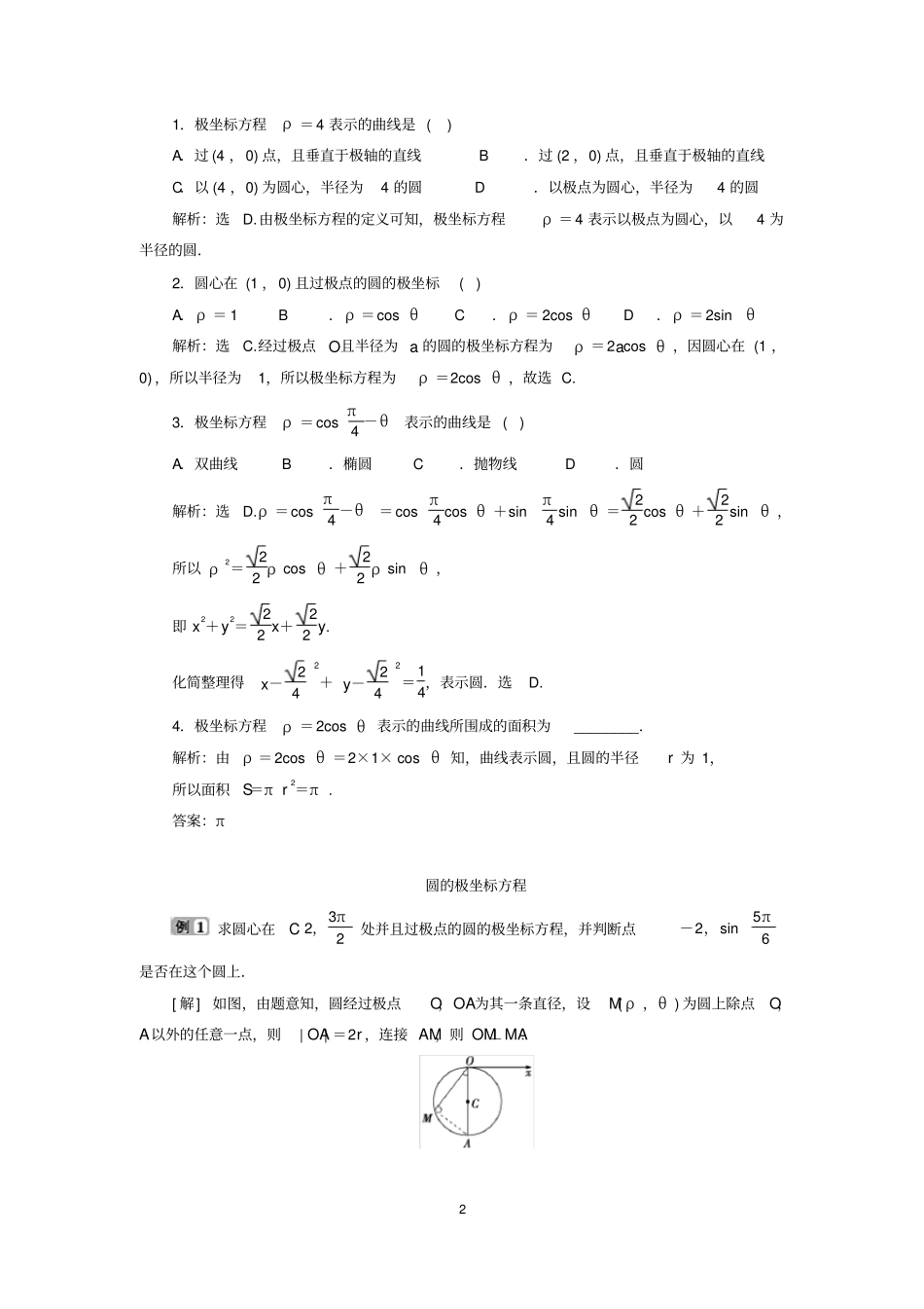
1圆的极坐标方程1.曲线的极坐标方程一般地,在极坐标系中,如果平面曲线C上任意一点的极坐标中至少有一个满足方程f(ρ,θ)=0,并且坐标适合方程f(ρ,θ)=0的点都在曲线C上,那么方程f(ρ,θ)=0叫做曲线C的极坐标方程.2.圆的极坐标方程(1)特殊情形如下表圆心位置极坐标方程图形圆心在极点(0,0)ρ=r(0≤θ<2π)圆心在点(r,0)ρ=2rcosθ(-π2≤θ<π2)圆心在点(r,π2)ρ=2rsinθ(0≤θ<π)圆心在点(r,π)ρ=-2rcosθ(π2≤θ<3π2)圆心在点(r,3π2)ρ=-2rsinθ(-π<θ≤0)(2)一般情形:设圆心C(ρ0,θ0),半径为r,M(ρ,θ)为圆上任意一点,则|CM|=r,∠COM=|θ-θ0|,根据余弦定理可得圆C的极坐标方程为ρ2-2ρ0ρcos(θ-θ0)+ρ20-r2=0.21.极坐标方程ρ=4表示的曲线是()A.过(4,0)点,且垂直于极轴的直线B.过(2,0)点,且垂直于极轴的直线C.以(4,0)为圆心,半径为4的圆D.以极点为圆心,半径为4的圆解析:选D.由极坐标方程的定义可知,极坐标方程ρ=4表示以极点为圆心,以4为半径的圆.2.圆心在(1,0)且过极点的圆的极坐标()A.ρ=1B.ρ=cosθC.ρ=2cosθD.ρ=2sinθ解析:选C.经过极点O且半径为a的圆的极坐标方程为ρ=2acosθ,因圆心在(1,0),所以半径为1,所以极坐标方程为ρ=2cosθ,故选C.3.极坐标方程ρ=cosπ4-θ表示的曲线是()A.双曲线B.椭圆C.抛物线D.圆解析:选D.ρ=cosπ4-θ=cosπ4cosθ+sinπ4sinθ=22cosθ+22sinθ,所以ρ2=22ρcosθ+22ρsinθ,即x2+y2=22x+22y.化简整理得x-242+y-242=14,表示圆.选D.4.极坐标方程ρ=2cosθ表示的曲线所围成的面积为________.解析:由ρ=2cosθ=2×1×cosθ知,曲线表示圆,且圆的半径r为1,所以面积S=πr2=π.答案:π圆的极坐标方程求圆心在C2,3π2处并且过极点的圆的极坐标方程,并判断点-2,sin5π6是否在这个圆上.[解]如图,由题意知,圆经过极点O,OA为其一条直径,设M(ρ,θ)为圆上除点O,A以外的任意一点,则|OA|=2r,连接AM,则OM⊥MA.3在Rt△OAM中,|OM|=|OA|cos∠AOM,即ρ=2rcos3π2-θ,所以ρ=-4sinθ,经验证,点O(0,0),A4,3π2的坐标满足上式.所以满足条件的圆的极坐标方程为ρ=-4sinθ.因为sin5π6=12,所以ρ=-4sinθ=-4sin5π6=-2,所以点-2,sin5π6在此圆上.求曲线的极坐标方程的五个步骤(1)建立适当的极坐标系(本题无需建);(2)在曲线上任取一点M(ρ,θ);(3)根据曲线上的点所满足的条件写出等式;(4)用极坐标(ρ,θ)表示上述等式,并化简得曲线的极坐标方程;(5)证明所得的方程是曲线的极坐标方程.(一般只要对特殊点加以检验即可).[注意]求曲线的极坐标方程,关键要找出曲线上的点满足的几何条件,并进行坐标表示.求圆心在C2,π4,半径为1的圆的极坐标方程.解:设圆C上任意一点的极坐标为M(ρ,θ),如图,在△OCM中,由余弦定理,得|OM|2+|OC|2-2|OM|·|OC|·cos∠COM=|CM|2,即ρ2-22ρcosθ-π4+1=0.当O,C,M三点共线时,点M的极坐标2±1,π4也适合上式,所以圆的极坐标方程为ρ2-22ρcosθ-π4+1=0.圆的极坐标方程与直角坐标方程的互化进行直角坐标方程与极坐标方程的互化:4(1)y2=4x;(2)x2+y2-2x-1=0;(3)ρ=12-cosθ.[解](1)将x=ρcosθ,y=ρsinθ代入y2=4x,得(ρsinθ)2=4ρcosθ.化简,得ρsin2θ=4cosθ.(2)将x=ρcosθ,y=ρsinθ代入y2+x2-2x-1=0,得(ρsinθ)2+(ρcosθ)2-2ρcosθ-1=0,化简,得ρ2-2ρcosθ-1=0.(3)因为ρ=12-cosθ,所以2ρ-ρcosθ=1.所以2x2+y2-x=1.化简,得3x2+4y2-2x-1=0.在进行两种坐标方程间的互化时应注意的问题(1)互化公式是有三个前提条件的,即极点与直角坐标系的原点重合、极轴与直角坐标系的横轴的正半轴重合,两种坐标系的单位长度相同.(2)由直角坐标求极坐标时,理论上不是唯一的,但这里约定只在0≤θ<2π范围内求值.(3)由直角坐标方程化为极坐标方程,最后要注意化简.(4)由极坐标方程化为直角坐标方程时要注意变形的等价性,通常要用ρ去乘方程的两端,应该检查极点是否在曲...

1、当您付费下载文档后,您只拥有了使用权限,并不意味着购买了版权,文档只能用于自身使用,不得用于其他商业用途(如 [转卖]进行直接盈利或[编辑后售卖]进行间接盈利)。
2、本站所有内容均由合作方或网友上传,本站不对文档的完整性、权威性及其观点立场正确性做任何保证或承诺!文档内容仅供研究参考,付费前请自行鉴别。
3、如文档内容存在违规,或者侵犯商业秘密、侵犯著作权等,请点击“违规举报”。

碎片内容

圆的极坐标方程

爱的疯狂+ 关注
实名认证
内容提供者

该用户很懒,什么也没介绍

相关文档

确认删除?
VIP
微信客服
  • 扫码咨询
会员Q群
  • 会员专属群点击这里加入QQ群
客服邮箱
回到顶部