电脑桌面
添加小米粒文库到电脑桌面
安装后可以在桌面快捷访问

(新课标)高考数学预测汇编试题(含解析)VIP免费

(新课标)高考数学预测汇编试题(含解析)_第1页
1/5
(新课标)高考数学预测汇编试题(含解析)_第2页
2/5
(新课标)高考数学预测汇编试题(含解析)_第3页
3/5
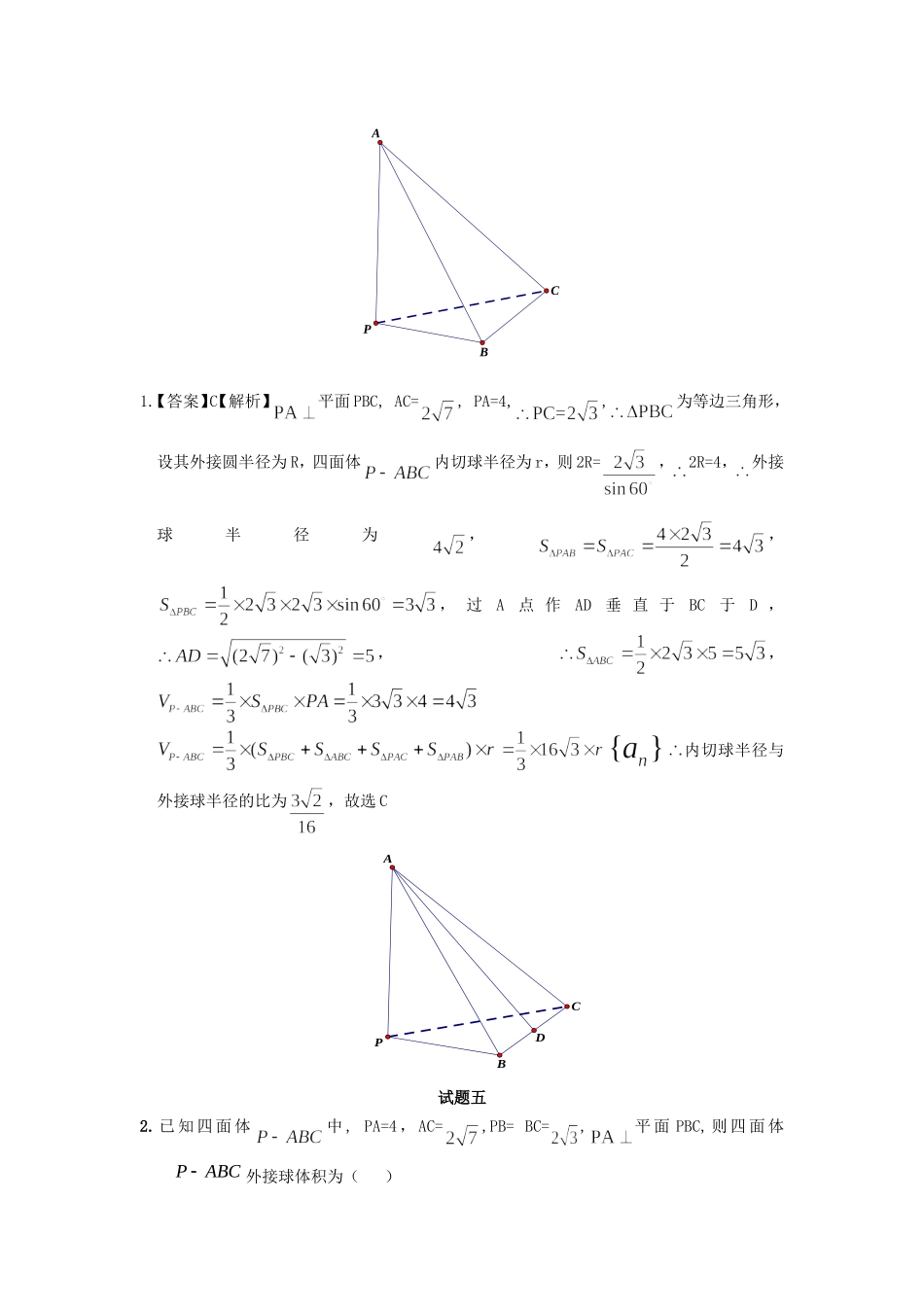
1.已知是等差数列,且,则的前8项和为()A.40B.20C.10D.81.【答案】B【解析】由可得,即,所以,的前8项和为.试题二2.已知i是虚数单位,,则()A.B.C.D.2.【答案】C【解析】由可得,故.试题三3.已知角是第二象限角,且,且的图像关于直线对称,则.3.【答案】【解析】由条件可得,则,,由关于直线对称可得,则.试题四1.(理)已知四面体中,PA=4,AC=,PB=BC=,平面PBC,则四面体PABC的内切球半径与外接球半径的比()A.B.C.D.APCB1.【答案】C【解析】平面PBC,AC=,PA=4,,为等边三角形,设其外接圆半径为R,四面体内切球半径为r,则2R=,2R=4,外接球半径为,,,过A点作AD垂直于BC于D,,,内切球半径与外接球半径的比为,故选CAPCBD试题五2.已知四面体中,PA=4,AC=,PB=BC=,平面PBC,则四面体PABC外接球体积为()A.B.C.D.2.【答案】C【解析】平面PBC,AC=,PA=4,,为等边三角形,设其外接球半径为R,,则2R=,2R=4,外接球半径为,其外接球的体积为试题六3.若椭圆:和椭圆共长轴,且,给出下列四个命题正确的是.①设椭圆的离心率为e,则;②;③④椭圆的焦点为椭圆上的任意一点,椭圆的焦点,为椭圆上的任意一点,则当都取最大角时,⑤两椭圆中,椭圆的最短的焦半径比椭圆的最短的焦半径长;3.【答案】②④⑤【解析】由于两椭圆共长轴,所以,又因为,所以,故①错.由于长轴相等,所以成立,②正确.对于③由于,所以,所以③错误.点在椭圆短轴顶点时,张角最大.由于两椭圆长轴相同,所以谁焦距长谁张角大,所以④正确.椭圆的最短的焦半径长为最短的焦半径,所以⑤正确.试题七1.已知函数,将函数图象上所有点的横坐标缩短为原来的倍(纵坐不变),得到函数的图象,则关于有下列命题,其中真命题的个数是()①函数是奇函数;②函数不是周期函数;③函数的图像关于点(π,0)中心对称;④函数的最大值为.A.1B.2C.3D.41.【答案】A【解析】,①错误,是偶函数;②错误,即为的一个周期;③正确,可以验证恒成立,故(π,0)是的图像的一个对称中心;④错误,令t=cos,t∈[-1,1],则m(t)=2t(1-t2)=2(t-t3),令m′(t)=2(1-3t2)=0,得.当t=±1时,函数值为0;当时,函数值为;当时,函数值为.∴m(t)max=,即的最大值为.试题八2.函数f(x)=(k>0)有且仅有两个不同的零点,(>),则以下有关两零点关系的结论正确的是()A.sin=cosB.sin=-cosC.sin=cosD.sin=-cos2.【答案】D【解析】由f(x)=(k>0)有且仅有两个不同的零点,(>)知,=有且仅有两个不同的解,,即=与有且仅有两个不同的交点,由图像知,与=相切于A(,),相交于B(,),且<0<,∴=,=,∴=,故选D.试题九3.设函数,.(Ⅰ)当时,证明在是增函数;(Ⅱ)若,,求的取值范围.3.【解析】(1),当时,,……2分令,则,当时,,所以在为增函数,因此时,,所以当时,,则在是增函数.---------6分(2)由,由(1)知,当且仅当等号成立.故,从而当,即时,对,,于是对.由得,从而当时,故当时,,于是当时,,综上,的取值范围是.---------12分

1、当您付费下载文档后,您只拥有了使用权限,并不意味着购买了版权,文档只能用于自身使用,不得用于其他商业用途(如 [转卖]进行直接盈利或[编辑后售卖]进行间接盈利)。
2、本站所有内容均由合作方或网友上传,本站不对文档的完整性、权威性及其观点立场正确性做任何保证或承诺!文档内容仅供研究参考,付费前请自行鉴别。
3、如文档内容存在违规,或者侵犯商业秘密、侵犯著作权等,请点击“违规举报”。

碎片内容

(新课标)高考数学预测汇编试题(含解析)

您可能关注的文档

确认删除?
VIP
微信客服
  • 扫码咨询
会员Q群
  • 会员专属群点击这里加入QQ群
客服邮箱
回到顶部