电脑桌面
添加小米粒文库到电脑桌面
安装后可以在桌面快捷访问

2017年普通高等学校招生全国统一考试全国I卷及参考答案VIP免费

2017年普通高等学校招生全国统一考试全国I卷及参考答案_第1页
1/12
2017年普通高等学校招生全国统一考试全国I卷及参考答案_第2页
2/12
2017年普通高等学校招生全国统一考试全国I卷及参考答案_第3页
3/12
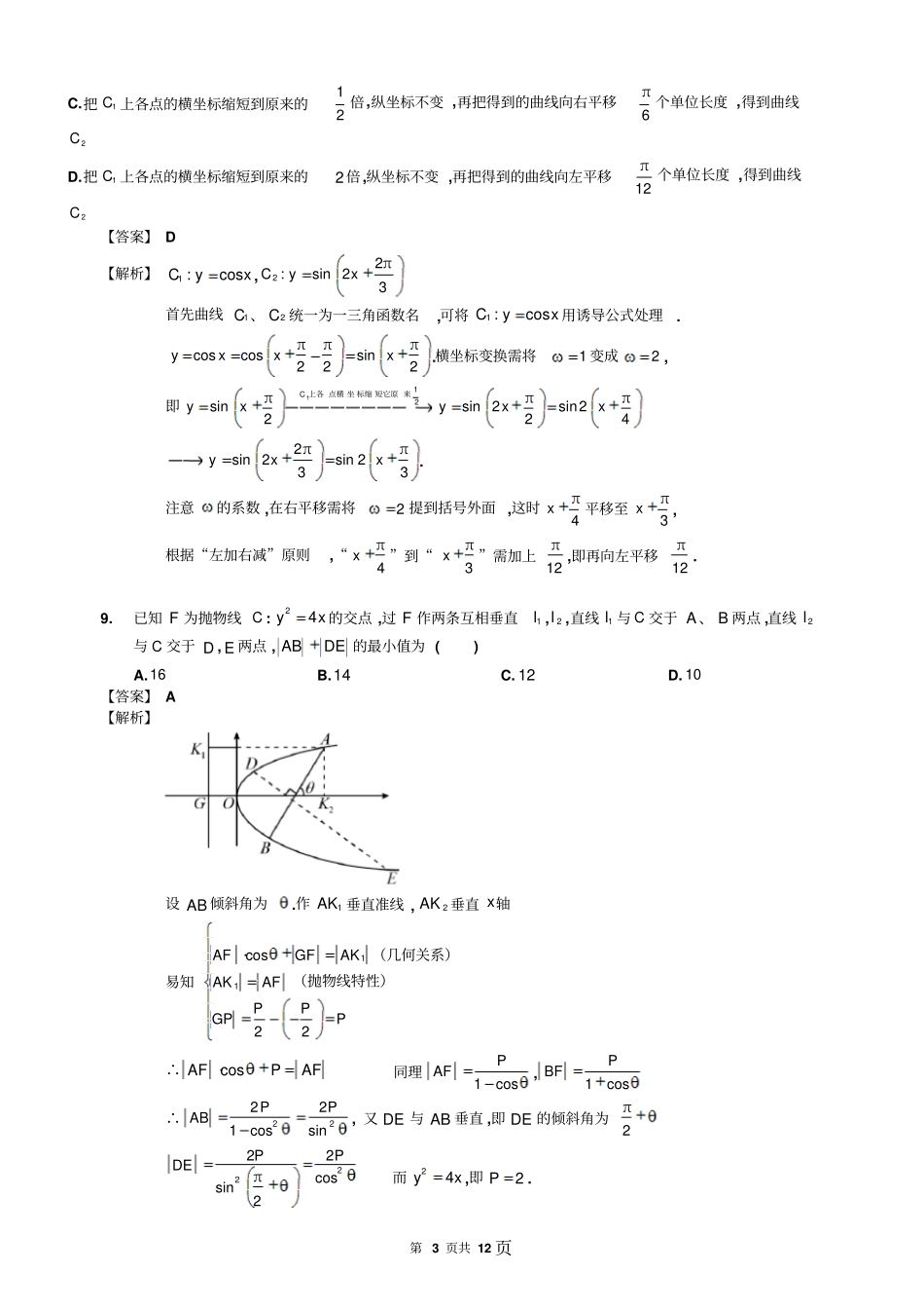
第1页共12页2017年普通高等学校招生全国统一考试(全国I卷)理科数学一、选择题:本题共12小题,每小题5分,共60分。在每小题给出的四个选项中,只有一项是符合题目要求的。1.已知集合131xAxxBx,,则()A.0ABxxB.ABRC.1ABxxD.AB【解析】1Axx,310xBxxx∴0ABxx,1ABxx,选A2.如图,正方形ABCD内的图形来自中国古代的太极图.正方形内切圆中的黑色部分和白色部分位于正方形的中心成中心对称,在正方形内随机取一点,则此点取自黑色部分的概率是()A.14B.π8C.12D.π4【解析】设正方形边长为2,则圆半径为1则正方形的面积为224,圆的面积为2π1π,图中黑色部分的概率为π2则此点取自黑色部分的概率为ππ248故选B3.设有下面四个命题()1p:若复数z满足1zR,则zR;2p:若复数z满足2zR,则zR;3p:若复数12zz,满足12zzR,则12zz;4p:若复数zR,则zR.A.13pp,B.14pp,C.23pp,D.24pp,【解析】1:p设zabi,则2211abizabiabR,得到0b,所以zR.故1P正确;2:p若z21,满足2zR,而zi,不满足2zR,故2p不正确;3:p若1z1,2z2,则12zz2,满足12zzR,而它们实部不相等,不是共轭复数,故3p不正确;4:p实数没有虚部,所以它的共轭复数是它本身,也属于实数,故4p正确;4.记nS为等差数列na的前n项和,若4562448aaS,,则na的公差为()A.1B.2C.4D.8【解析】45113424aaadad61656482Sad联立求得11272461548adad①②3①②得211524d624d4d∴选C5.函数fx在,单调递减,且为奇函数.若11f,则满足121fx≤≤的x的取值范围是()A.22,B.11,C.04,D.13,【解析】因为fx为奇函数,所以111ff,于是121fx≤≤等价于121ffxf≤≤|又fx在,单调递减121x≤≤3x1≤≤故选D第2页共12页6.62111xx展开式中2x的系数为A.15B.20C.30D.35【解析】66622111+1111xxxxx对61x的2x项系数为2665C152对6211xx的2x项系数为46C=15,∴2x的系数为151530故选C7.某多面体的三视图如图所示,其中正视图和左视图都由正方形和等腰直角三角形组成,正方形的边长为2,俯视图为等腰直角三角形、该多面体的各个面中有若干是梯形,这些梯形的面积之和为A.10B.12C.14D.16【解析】由三视图可画出立体图该立体图平面内只有两个相同的梯形的面24226S梯6212S全梯故选B8.右面程序框图是为了求出满足321000nn的最小偶数n,那么在和两个空白框中,可以分别填入A.1000A和1nnB.1000A和2nnC.1000A≤和1nnD.1000A≤和2nn解因为要求A大于1000时输出,且框图中在“否”时输出∴“”中不能输入A1000排除A、B又要求n为偶数,且n初始值为0,“”中n依次加2可保证其为偶故选D9已知曲线1:cosCyx,22π:sin23Cyx,则下面结论正确的是()A.把1C上各点的横坐标伸长到原来的2倍,纵坐标不变,再把得到的曲线向右平移π6个单位长度,得到曲线2CB.把1C上各点的横坐标伸长到原来的2倍,纵坐标不变,再把得到的曲线向左平移π12个单位长度,得到曲线2C第3页共12页C.把1C上各点的横坐标缩短到原来的12倍,纵坐标不变,再把得到的曲线向右平移π6个单位长度,得到曲线2CD.把1C上各点的横坐标缩短到原来的2倍,纵坐标不变,再把得到的曲线向左平移π12个单位长度,得到曲线2C【答案】D【解析】1:cosCyx,22π:sin23Cyx首先曲线1C、2C统一为一三角函数名,可将1:cosCyx用诱导公式处理.πππcoscossin222yxxx.横坐标变换需将1变成2,即112πππsinsin2sin2224C上各坐短它原yxyxx点横标缩来2ππsin2sin233yxx.注意的系数,在右平移需将2提到括号外面,这时π4x平移至π3x,根据“左加右减”原则,“π4x”到“π3x”需加上π12,即再向左平移π12.9.已知F为抛物线C:24yx的交点,过F作两条互相垂直1l,2l,直线1l与C交于A、B两点,直线2l与C交于D,E两点,ABDE的最小值为()A.16B.14C.12D.10【答案】A【解析】设AB倾斜角为.作1AK垂直准线,2AK垂直x轴易知11cos22AFGFAKAKAFPPGPP(几何关系)(抛物线特性)cosAFPAF∴同理1cosPAF,1cosPBF∴22221cossinPPAB,又DE与AB垂直,即DE的倾斜角为π22222πcossin2PPDE而24yx,即2P.第4页共12页yx2x+y+1=0x+2y-1=01CBA∴22112sincosABDEP2222sincos4sincos224sincos241sin2421616sin2≥,当π4取等号即ABDE最小值为16,故选A10.设x,y,z为正数,且235xyz,则()A.235xyzB.523zxyC.352yzxD.325yxz【答案】D【答案】取对数:ln2ln3ln5xy.ln33ln22xy...

1、当您付费下载文档后,您只拥有了使用权限,并不意味着购买了版权,文档只能用于自身使用,不得用于其他商业用途(如 [转卖]进行直接盈利或[编辑后售卖]进行间接盈利)。
2、本站所有内容均由合作方或网友上传,本站不对文档的完整性、权威性及其观点立场正确性做任何保证或承诺!文档内容仅供研究参考,付费前请自行鉴别。
3、如文档内容存在违规,或者侵犯商业秘密、侵犯著作权等,请点击“违规举报”。

碎片内容

2017年普通高等学校招生全国统一考试全国I卷及参考答案

爱的疯狂+ 关注
实名认证
内容提供者

该用户很懒,什么也没介绍

确认删除?
VIP
微信客服
  • 扫码咨询
会员Q群
  • 会员专属群点击这里加入QQ群
客服邮箱
回到顶部