电脑桌面
添加小米粒文库到电脑桌面
安装后可以在桌面快捷访问

漫谈提高解几解题速度的策略VIP免费

漫谈提高解几解题速度的策略_第1页
1/10
漫谈提高解几解题速度的策略_第2页
2/10
漫谈提高解几解题速度的策略_第3页
3/10
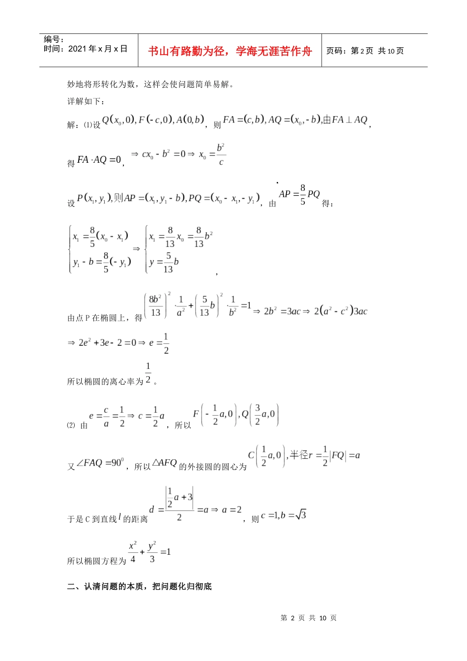
第1页共10页OFAPQyx编号:时间:2021年x月x日书山有路勤为径,学海无涯苦作舟页码:第1页共10页漫谈提高《解几》解题速度的策略苏州外国语学校张锦成解析几何就是运用坐标法解决两类基本问题:一类是求满足给定条件的点的轨迹即曲线,通过建立适当的坐标系求其方程也就是求曲线的方程;另一类是通过对曲线方程的讨论,研究方程所表示的曲线性质。高考中对于解析几何要求较高,究竟“考什么、怎么考、考多难”,结合08年课改后各省市及全国高考卷中的解析几何题,可以看出高考中的解析几何就是围绕解析几何的两类基本问题来考查的,大部分学生觉得题难,有点让人摸索不透,很多学生为其而烦。解几题如果方法不当,则很难实施解题,即便免强能解,也是运算量超大,让人如临大敌,因此提高解题技巧,优化解题方法,就显得尤为重要,现就解几中常见的题型,强调几个应注意的策略:一、.把向量条件数量化是解决以向量为背景的解析几何问题的第一程序解析几何在数学中体现了重要的数学思想“数形结合”,它能有效的培养学生的分析、解决问题的能力,其中以向量与解几的结合是数形结合的最佳载体,既有数的运算又有相应的几何意义。当解析几何问题中涉及到夹角、平行、垂直、共线、求动点轨迹等问题时可借助于向量进行解决。要充分利用向量条件中的信息,将位置关系转化为向量,将向量转化为坐标,这样复杂的问题就能简单化,容易理解、便于解决。例1设椭圆的左焦点为F,上顶点为A,过A与AF垂直的直线分别交椭圆C和x轴正半轴于P,Q两点,且。⑴求椭圆C的离心率;⑵若过A,Q,F三点的圆恰好与直线相切,求椭圆C的方程。【分析】:本题若通过直线方程来处理题设中的垂直,通过线段的长度来处理向量的关系,一定很烦;若是用向量处理垂直问题,设出相应的点,用点的坐标去表示向量,巧第2页共10页第1页共10页编号:时间:2021年x月x日书山有路勤为径,学海无涯苦作舟页码:第2页共10页妙地将形转化为数,这样会使问题简单易解。详解如下:解:⑴设,则,得,设,由得:,由点P在椭圆上,得所以椭圆的离心率为。⑵由,所以又,所以的外接圆的圆心为于是C到直线的距离,则所以椭圆方程为二、认清问题的本质,把问题化归彻底第3页共10页第2页共10页ABMxyOE编号:时间:2021年x月x日书山有路勤为径,学海无涯苦作舟页码:第3页共10页有些学生在处理问题的时候,不是不具备解析法的思想也不是没有处理解几问题应该具备的计算、分析能力,而是没有透过现象,认清问题的本质,或者说没有读懂题,就急于解题,这样的解题,切不可取。此时一定要分析问题的中心是什么,是什么量决定了问题的可研究性,例2(江苏高考调研)已知在直角三角形PMN中,∠PMN=90°,PM=3,MN=4,若椭圆以M、N为焦点,且经过P点.(1)试建立恰当的直角坐标系,求出椭圆的标准方程;(2)若经过左焦点M的直线与椭圆交于A、B两点,问是否存在不等于零的实数λ,满足O⃗A+O⃗B+λO⃗P=⃗0?若存在,求出实数λ的值,若不存在,说明理由。【分析】:该题的第二问是对λ的探求问题,向量表达式O⃗A+O⃗B+λO⃗P=⃗0的形的意义就是线段AB的中点C、点P、O三点共线,即当直线的斜率k取一确定值时能保证上述条件,所以该问题应该围绕直线的斜率来讨论,先确定k的值然后再确定λ的值。有的同学没有搞清问题的本质,围绕λ来做文章,那么这个问题的处理就进了死胡同。解略。例3如图所示,已知圆交x轴分别于A,B两点,交y轴的负半轴于点M,过点M作圆E的弦MN.(Ⅰ)若弦MN所在直线的斜率为2,求弦MN的长;(Ⅱ)若弦MN的中点恰好落在x轴上,求弦MN所在直线的方程;(Ⅲ)设弦MN上一点P(不含端点)满足成等比数列(其中O为坐标原点),试探求的取值范围.【分析】:将三道小题都集中在圆的一条动弦上,同时考查了直线方程、圆的方程、平面向量的数量积、一元二次不等式、等比数列这五个C级知识点,另外还考查了直线与圆的位置关系、点与圆的位置关系等知识点.现在高考命题的趋势就是在直线与圆内寻找新的亮点.很多第4页共10页第3页共10页A1F1MxyPF2A2Ol编号:时间:2021年x月x日书山有路勤为径,学海无涯苦作舟页码:第4页共10页情况下,新意达到了,同时题目的难...

1、当您付费下载文档后,您只拥有了使用权限,并不意味着购买了版权,文档只能用于自身使用,不得用于其他商业用途(如 [转卖]进行直接盈利或[编辑后售卖]进行间接盈利)。
2、本站所有内容均由合作方或网友上传,本站不对文档的完整性、权威性及其观点立场正确性做任何保证或承诺!文档内容仅供研究参考,付费前请自行鉴别。
3、如文档内容存在违规,或者侵犯商业秘密、侵犯著作权等,请点击“违规举报”。

碎片内容

漫谈提高解几解题速度的策略

确认删除?
VIP
微信客服
  • 扫码咨询
会员Q群
  • 会员专属群点击这里加入QQ群
客服邮箱
回到顶部