电脑桌面
添加小米粒文库到电脑桌面
安装后可以在桌面快捷访问

安顺市农村信用社XXXX年公开招聘派遣制员工笔试成绩(西秀金融专业)VIP免费

安顺市农村信用社XXXX年公开招聘派遣制员工笔试成绩(西秀金融专业)_第1页
1/7
安顺市农村信用社XXXX年公开招聘派遣制员工笔试成绩(西秀金融专业)_第2页
2/7
安顺市农村信用社XXXX年公开招聘派遣制员工笔试成绩(西秀金融专业)_第3页
3/7
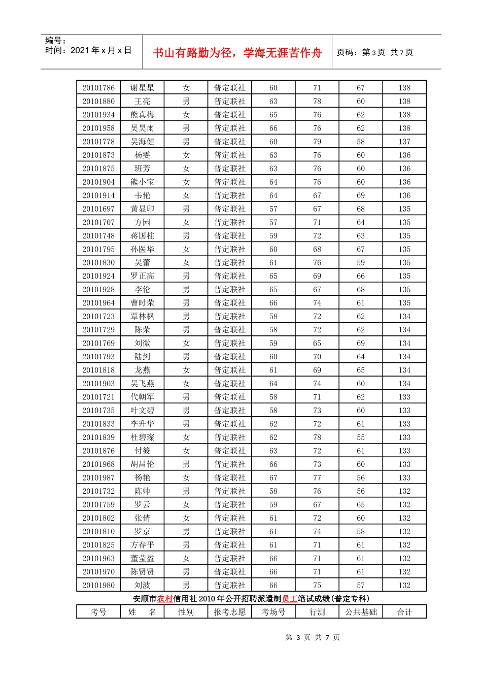
第1页共7页编号:时间:2021年x月x日书山有路勤为径,学海无涯苦作舟页码:第1页共7页安顺市农村信用社2010年公开招聘派遣制员工笔试成绩(西秀金融专业)准考证号姓名性别报考联社考场号行测公共基础总分20100942邓皖皖女西秀联社32766213820100930王家虎男西秀联社31726313520100932张维秀女西秀联社32746113520100929杨兴海男西秀联社31656713220100933李琳女西秀联社32725913120100936杨顺臣男西秀联社32666513120100939刘丽女西秀联社32696213120100938安正飞男西秀联社32735713020100935李彦德男西秀联社32666312920100944李朗男西秀联社32666012620100943王权男西秀联社32685712520100941唐源鑫女西秀联社32685412220100928刘旭东男西秀联社31655512020100940韩丽武女西秀联社32625211420100931温梅女西秀联社325650106安顺市农村信用社2010年公开招聘派遣制员工笔试成绩(西秀法学专业)准考证号姓名性别报考联社考场号行测公共基础总分20100881王勇男西秀联社30756313820100848秦金全男西秀联社29726413620100853贺翠女西秀联社29766013620100869陈珺女西秀联社29736213520100910周迪琪男西秀联社31666913520100865徐洪男西秀联社29746013420100840周畅女西秀联社28745913320100867袁松男西秀联社29765713320100904沈广侯男西秀联社31755813320100839邓毅林男西秀联社28666413020100850杨俭男西秀联社29696012920100841周舰男西秀联社29695812720100861唐健女西秀联社29725512720100863金家敏女西秀联社29725512720100873周嵘女西秀联社307057127安顺市农村信用社2010年公开招聘派遣制员工笔试成绩(西秀会计电算化专业)准考证号姓名性别报考联社考场号行政测试公共基础总分20100917葛乙力女西秀联社31636913220100913平竹女西秀联社31645612020100901王娅女西秀联社31615711820100902方苑女西秀联社316353116第2页共7页第1页共7页编号:时间:2021年x月x日书山有路勤为径,学海无涯苦作舟页码:第2页共7页20100905潘本山男西秀联社31615511620100890赵建男西秀联社30635011320100893杨娆女西秀联社30635011320100895庄莹女西秀联社30545811220100889张驰男西秀联社30615011120100920吴晓鸿男西秀联社31605011020100922肖欢欢女西秀联社31644510920100909杨阳男西秀联社31644410820100899马明义男西秀联社30535410720100912蒋良笑女西秀联社31604710720100892支堃男西秀联社30574910620100925陈廷姣女西秀联社315848106安顺市农村信用社2010年公开招聘派遣制员工笔试成绩(西秀市场营销专业)准考证号姓名性别报考联社考场号行政测试公共基础总分20100959杨秀君女西秀联社32726814020100950何朝文男西秀联社32755813320100968陈飞男西秀联社33735813120100960张娟娟女西秀联社32705812820100965余芸女西秀联社33686012820100966张梅女西秀联社33656312820100972李沙沙女西秀联社33705712720100958李荣男西秀联社32685712520100969龙礼凤女西秀联社33754912420100975程诚女西秀联社33725212420100954尚剑男西秀联社32645912320100979朱勇男西秀联社33655812320100946赵丹女西秀联社32675412120100961吴晓秉女西秀联社33715012120100976林立婧女西秀联社336853121安顺市农村信用社2010年公开招聘派遣制员工笔试成绩(普定本科)考号姓名性别报考志愿考场号行测公共基础合计20101771彭艳女普定联社60777014720101710刘懿女普定联社57786614420101836黄锋锋女普定联社62677614320101737吴爽男普定联社58736914220101864王小立男普定联社63766614220101989刘圣驰男普定联社67786414220101749陈绍虎男普定联社59806114120101770陈松男普定联社59776314020101124邓涛男普定联社387663139第3页共7页第2页共7页编号:时间:2021年x月x日书山有路勤为径,学海无涯苦作舟页码:第3页共7页20101786谢星星女普定联社60716713820101880王亮男普定联社63786013820101934熊真梅女普定联社65766213820101958吴昊雨男普定联社66766213820101778吴海健男普定联社60795813720101873杨雯女普定联社63766013620101875班芳女普定联社63766013620101904熊小宝女普定联社64766013620101914韦艳女普定联社6467...

1、当您付费下载文档后,您只拥有了使用权限,并不意味着购买了版权,文档只能用于自身使用,不得用于其他商业用途(如 [转卖]进行直接盈利或[编辑后售卖]进行间接盈利)。
2、本站所有内容均由合作方或网友上传,本站不对文档的完整性、权威性及其观点立场正确性做任何保证或承诺!文档内容仅供研究参考,付费前请自行鉴别。
3、如文档内容存在违规,或者侵犯商业秘密、侵犯著作权等,请点击“违规举报”。

碎片内容

安顺市农村信用社XXXX年公开招聘派遣制员工笔试成绩(西秀金融专业)

确认删除?
VIP
微信客服
  • 扫码咨询
会员Q群
  • 会员专属群点击这里加入QQ群
客服邮箱
回到顶部