电脑桌面
添加小米粒文库到电脑桌面
安装后可以在桌面快捷访问

八年级数学上册 第1章 分式1.4 分式的加法和减法第2课时 通分、最简公分母的概念教案(新版)湘教版-(新版)湘教版初中八年级上册数学教案VIP免费

八年级数学上册 第1章 分式1.4 分式的加法和减法第2课时 通分、最简公分母的概念教案(新版)湘教版-(新版)湘教版初中八年级上册数学教案_第1页
1/3
八年级数学上册 第1章 分式1.4 分式的加法和减法第2课时 通分、最简公分母的概念教案(新版)湘教版-(新版)湘教版初中八年级上册数学教案_第2页
2/3
八年级数学上册 第1章 分式1.4 分式的加法和减法第2课时 通分、最简公分母的概念教案(新版)湘教版-(新版)湘教版初中八年级上册数学教案_第3页
3/3
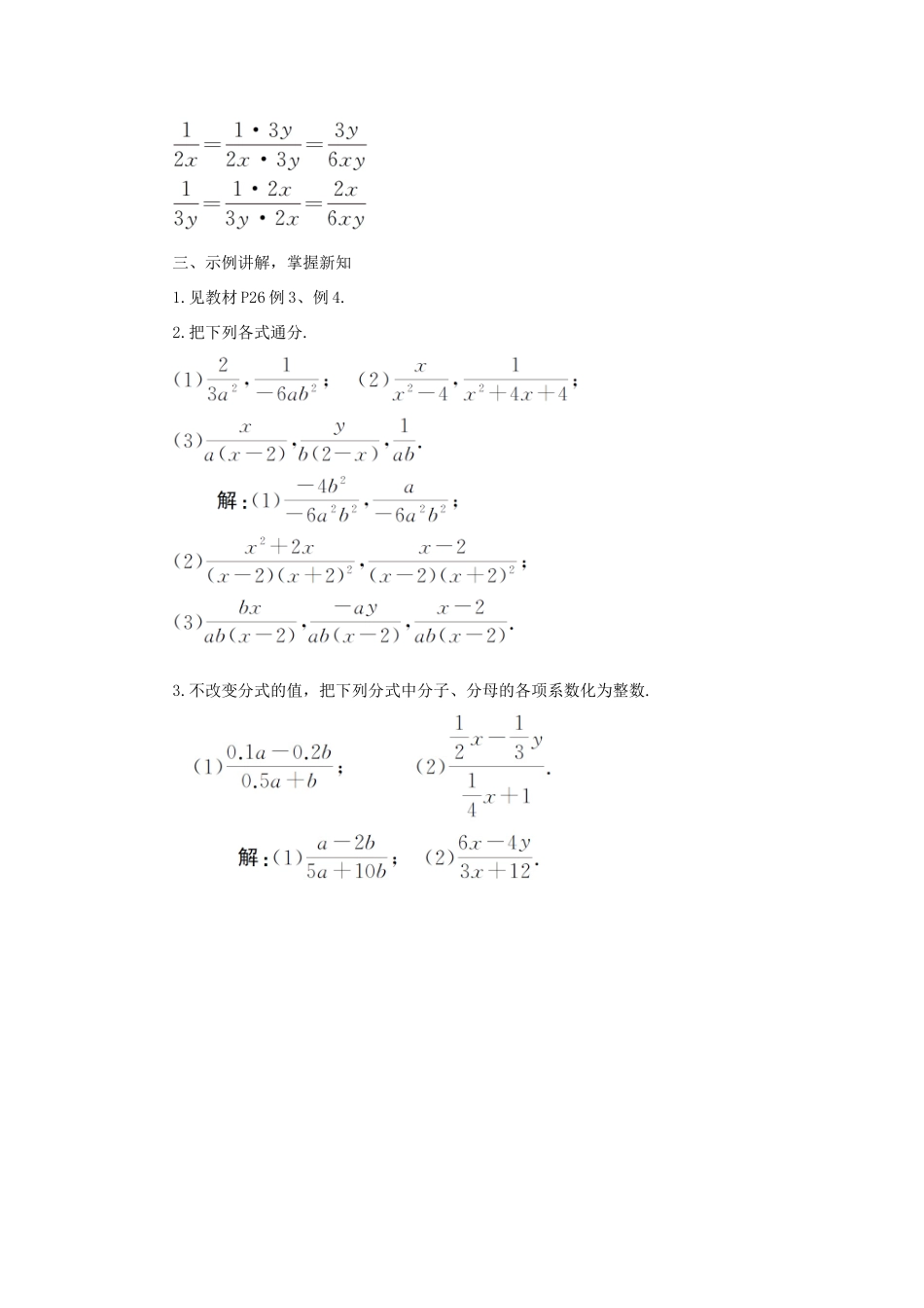
第2课时通分、最简公分母的概念【知识与技能】会找最简公分母,能进行分式的通分.【过程与方法】认真阅读课本,比照分数通分的方法,类比归纳分式通分的方法.【情感态度】通过学习认识到数与式的联系,理解事物拓延的内在本质,丰富教学情感与思想.【教学重点】分式的通分.【教学难点】找最简公分母.一、创设情境,导入新课分式与的最简公分母是_________,通分后的结果分别是_________.二、思考探究,获取新知1.什么是分式的通分呢?【归纳结论】根据分式的基本性质,把几个异分母的分式化成同分母的分式的过程,叫作分式的通分.2.如何把分式、通分呢?【归纳结论】通分时,关键是确定公分母.一般取各分母的所有因式的最高次幂的积作为公分母,这样的公分母称为最简公分母.上面的两个分式的分母中,有哪些因式呢?所有因式的最高次幂的积是多少?最简公分母是什么?三、示例讲解,掌握新知1.见教材P26例3、例4.2.把下列各式通分.3.不改变分式的值,把下列分式中分子、分母的各项系数化为整数.四、师生互动,课堂小结先小组内交流收获和感想而后以小组为单位派代表进行总结,教师作以补充.布置作业:教材“习题1.4”中第1、2题.教师应注重提高在验证、交流环节中学生的参与率,尤其是一些后进生可能普遍会感觉无从下手,在交流时不主动,从而停留在一知半解的状态.在巩固练习环节上,教师要注意学生的练习密度,确保能达到一定的练习量.

1、当您付费下载文档后,您只拥有了使用权限,并不意味着购买了版权,文档只能用于自身使用,不得用于其他商业用途(如 [转卖]进行直接盈利或[编辑后售卖]进行间接盈利)。
2、本站所有内容均由合作方或网友上传,本站不对文档的完整性、权威性及其观点立场正确性做任何保证或承诺!文档内容仅供研究参考,付费前请自行鉴别。
3、如文档内容存在违规,或者侵犯商业秘密、侵犯著作权等,请点击“违规举报”。

碎片内容

八年级数学上册 第1章 分式1.4 分式的加法和减法第2课时 通分、最简公分母的概念教案(新版)湘教版-(新版)湘教版初中八年级上册数学教案

您可能关注的文档

慧源书店+ 关注
实名认证
内容提供者

从事历史教学,热爱教育,高度负责。

相关文档

确认删除?
VIP
微信客服
  • 扫码咨询
会员Q群
  • 会员专属群点击这里加入QQ群
客服邮箱
回到顶部