电脑桌面
添加小米粒文库到电脑桌面
安装后可以在桌面快捷访问

(福建专用)高考数学总复习 第六章 数列 课时规范练31 数列求和 理 新人教A-新人教A高三数学试题VIP免费

(福建专用)高考数学总复习 第六章 数列 课时规范练31 数列求和 理 新人教A-新人教A高三数学试题_第1页
1/4
(福建专用)高考数学总复习 第六章 数列 课时规范练31 数列求和 理 新人教A-新人教A高三数学试题_第2页
2/4
(福建专用)高考数学总复习 第六章 数列 课时规范练31 数列求和 理 新人教A-新人教A高三数学试题_第3页
3/4
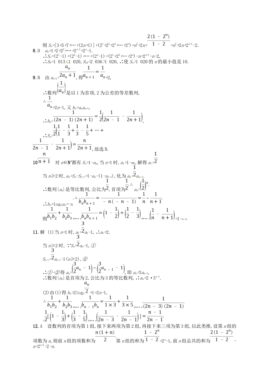
课时规范练31数列求和一、基础巩固组1.数列1,3,5,7,…,(2n-1)+,…的前n项和Sn的值等于()A.n2+1-B.2n2-n+1-C.n2+1-D.n2-n+1-2.在数列{an}中,a1=-60,an+1=an+3,则|a1|+|a2|+…+|a30|=()A.-495B.765C.1080D.31053.已知数列{an}的前n项和Sn满足Sn+Sm=Sn+m,其中m,n为正整数,且a1=1,则a10等于()A.1B.9C.10D.554.已知函数f(x)=xa的图象过点(4,2),令an=,n∈N*.记数列{an}的前n项和为Sn,则S2018等于()A.-1B.+1C.-1D.+15.已知数列{an}中,an=2n+1,则+…+=()A.1+B.1-2nC.1-D.1+2n导学号〚21500545〛6.设数列{an}的前n项和为Sn,a1=2,若Sn+1=Sn,则数列的前2018项和为.7.已知等差数列{an}满足:a5=11,a2+a6=18.(1)求数列{an}的通项公式;(2)若bn=an+2n,求数列{bn}的前n项和Sn.二、综合提升组8.如果数列1,1+2,1+2+4,…,1+2+22+…+2n-1,…的前n项和Sn>1020,那么n的最小值是()A.7B.8C.9D.109.(2017山东烟台模拟)已知数列{an}中,a1=1,且an+1=,若bn=anan+1,则数列{bn}的前n项和Sn为()A.B.C.D.导学号〚21500546〛10.(2017福建龙岩一模)已知Sn为数列{an}的前n项和,对n∈N*都有Sn=1-an,若bn=log2an,则+…+=.11.(2017广西模拟)已知数列{an}的前n项和为Sn,且Sn=an-1(n∈N*).(1)求数列{an}的通项公式;(2)设bn=2log3+1,求+…+.三、创新应用组12.(2017全国Ⅰ,理12)几位大学生响应国家的创业号召,开发了一款应用软件.为激发大家学习数学的兴趣,他们推出了“解数学题获取软件激活码”的活动.这款软件的激活码为下面数学问题的答案:已知数列1,1,2,1,2,4,1,2,4,8,1,2,4,8,16,…,其中第一项是20,接下来的两项是20,21,再接下来的三项是20,21,22,依此类推.求满足如下条件的最小整数N:N>100且该数列的前N项和为2的整数幂.那么该款软件的激活码是()A.440B.330C.220D.110导学号〚21500547〛课时规范练31数列求和1.A该数列的通项公式为an=(2n-1)+,则Sn=[1+3+5+…+(2n-1)]+=n2+1-2.B由a1=-60,an+1=an+3可得an=3n-63,则a21=0,|a1|+|a2|+…+|a30|=-(a1+a2+…+a20)+(a21+…+a30)=S30-2S20=765,故选B.3.A∵Sn+Sm=Sn+m,a1=1,∴S1=1.可令m=1,得Sn+1=Sn+1,∴Sn+1-Sn=1,即当n≥1时,an+1=1,∴a10=1.4.C由f(4)=2,可得4a=2,解得a=,则f(x)=∴an=,S2018=a1+a2+a3+…+a2018=()+()+()+…+()=-1.5.Can+1-an=2n+1+1-(2n+1)=2n+1-2n=2n,所以+…++…+=1-=1-6∵Sn+1=Sn,又a1=2,∴当n≥2时,Sn=…S1=…2=n(n+1).当n=1时也成立,∴Sn=n(n+1).∴当n≥2时,an=Sn-Sn-1=n(n+1)-n(n-1)=2n.当n=1时,a1=2也成立,所以an=2n.则数列的前2018项和=7.解(1)设{an}的首项为a1,公差为d.由a5=11,a2+a6=18,得解得a1=3,d=2,所以an=2n+1.(2)由an=2n+1得bn=2n+1+2n,则Sn=[3+5+7+…+(2n+1)]+(21+22+23+…+2n)=n2+2n+=n2+2n+2n+1-2.8.Dan=1+2+22+…+2n-1=2n-1.∴Sn=(21-1)+(22-1)+…+(2n-1)=(21+22+…+2n)-n=2n+1-n-2,∴S9=1013<1020,S10=2036>1020,∴使Sn>1020的n的最小值是10.9.B由an+1=,得+2,∴数列是以1为首项,2为公差的等差数列,=2n-1,又bn=anan+1,∴bn=,∴Sn=,故选B.10对n∈N*都有Sn=1-an,当n=1时,a1=1-a1,解得a1=当n≥2时,an=Sn-Sn-1=1-an-(1-an-1),化为an=an-1.∴数列{an}是等比数列,公比为,首项为an=∴bn=log2an=-n则+…++…+=1-11.解(1)当n=1时,a1=a1-1,∴a1=2.当n≥2时,∵Sn=an-1,①Sn-1=an-1-1(n≥2),②∴①-②得an=,即an=3an-1,∴数列{an}是首项为2,公比为3的等比数列,∴an=2·3n-1.(2)由(1)得bn=2log3+1=2n-1,+…++…+=+…+12.A设数列的首项为第1组,接下来两项为第2组,再接下来三项为第3组,以此类推,设第n组的项数为n,则前n组的项数和为第n组的和为=2n-1,前n组总共的和为-n=2n+1-2-n.由题意,N>100,令>100,得n≥14且n∈N*,即N出现在第13组之后.若要使最小整数N满足:N>100且前N项和为2的整数幂,则SN-应与-2-n互为相反数,即2k-1=2+n(k∈N*,n≥14),所以k=log2(n+3),解得n=29,k=5.所以N=+5=440,故选A.

1、当您付费下载文档后,您只拥有了使用权限,并不意味着购买了版权,文档只能用于自身使用,不得用于其他商业用途(如 [转卖]进行直接盈利或[编辑后售卖]进行间接盈利)。
2、本站所有内容均由合作方或网友上传,本站不对文档的完整性、权威性及其观点立场正确性做任何保证或承诺!文档内容仅供研究参考,付费前请自行鉴别。
3、如文档内容存在违规,或者侵犯商业秘密、侵犯著作权等,请点击“违规举报”。

碎片内容

(福建专用)高考数学总复习 第六章 数列 课时规范练31 数列求和 理 新人教A-新人教A高三数学试题

文章天下+ 关注
实名认证
内容提供者

各种文档应有尽有

相关文档

确认删除?
VIP
微信客服
  • 扫码咨询
会员Q群
  • 会员专属群点击这里加入QQ群
客服邮箱
回到顶部