电脑桌面
添加小米粒文库到电脑桌面
安装后可以在桌面快捷访问

大全指令二进制代码手册VIP免费

大全指令二进制代码手册_第1页
1/59
大全指令二进制代码手册_第2页
2/59
大全指令二进制代码手册_第3页
3/59
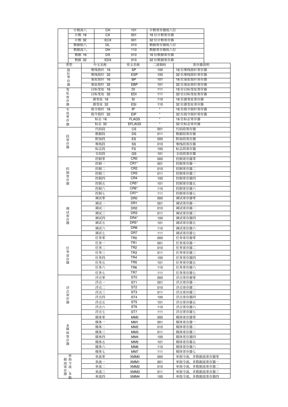
汇编指令与二进制代码对应手册汇编指令与二进制代码具有一一对应关系,也就是说,一条汇编指令必将唯一对应一条二进制代码指令,而一条二进制代码指令也唯一对应一条汇编指令,这就为写一个汇编语言与二进制指令相互对应的参考表成为可能。手册的使用范围本手册的读者需要据有一定的计算机专业知识,了解CPU的工作原理及内部的体系结构,熟悉IBM汇编、NASM或其它汇编语言,并且对汇编语言指令的二进制代码有足够的兴趣。本手册列出了绝大部分的中文汇编指令与二进制指令的对应关系,及相应的英文汇编指令名称。由于作者水平有限,而且本手册主要是对照NASM汇编语言指令集、《Intel微处理器结构、编程与接口》中文第六版及其Intel公司公布的《IA-32IntelArchitectureSoftwareDeveloper’sManual》2001年版的PDF格式文档指令集而生成的,或许有一些比较新的指令或者其他CPU特有的指令,并未收集在本手册中。汇编指令解析一、操作码汇编指令按其功能可分为:一般指令、浮点指令、多媒体指令和SIMD流式扩展(SSE)指令。汇编指令因其繁多且对应的二进制代码有多种变化而变得异常复杂,二进制代码的指令都是由操作码与操作数构成,就指令与操作数的关系而言,指令无非是无操作数、单操作数、双操作数和三操作数。所谓的操作码就是唯一代表着指令的意义的一段二进制码,操作码可以是单字节或者是双字节。有一种特殊的操作码,它与操作数合起来共用一个字节或者两个字节,这种操作码的操作数都是寄存器,而且寄存器的二进制代码都为这操作码字节的最后三位,在参照表中用“操作数指令”字段表示,如果这个段中的数据为“是”就表示这个操作码是与寄存器操作数共用一个字节或两个字节,否则就不是。从对照表中,我们可以看出,实事上二进制操作码与汇编指令名称并非一一对应,一条汇编指令的名称如:转移指令,它可以对应多个操作码,只有当指令名称与指令操作数合在一起,才与操作码和操作数有一一对应的关系。也就是说同一个指令名称,指令操作数类型不同,对应的二进制操作码也可能不同。操作码在对照表是用“操作码”字段表示。在操作码字节中通常又有方向位、符号位、操作数大小修饰位值得注意,它们都用一个二进制位来表示,方向位与符号位通常都在操作码的倒数第二位,而操作数修饰位通常在操作码的最后一位。举例说明:如果倒数第二位是方向位,那么如果这一位值为0,那么表示操作数是从左到右,如果是1表示操作数从右到左;如果倒数第二位是表示符号位,那么如果这一位值为0表示操作数是无符号操作数,如果值为1表示操作数为有符号操作数;如果最后一位是修饰操作数位,那么最后一位为0表示操作数是八位操作数,就是字节操作数,最后一位为1表示操作数大小由汇编模式决定,如果是16位汇编就表示是16位操作数,即字操作数,如果是32位汇编就表示是32位操作数,即双字操作数。汇编模式是16位还是32位,由汇编代码决定,在NASM汇编中默认为32位模式,如果代码显示地给出BIT16就表示汇编成16位模式,如果代码显示地给出BIT32就表示汇编成32位模式。汇编模式不同,操作数也不相同,具体请看操作数节中介绍。二、操作数计算机指令之所以复杂的一个主要原因就是操作数有多种变化,最为简单的指令就是无操作数指令。其中操作数可以是立即数、寄存器和内存地址。通常情况下,操作数含有立即数的指令与不含立即数的指令,指令操作码不同;操作数都为寄存器的,通用寄存器、段寄存器、控制寄存器、调试寄存器和任务寄存器的指令操作码不同;多媒体指令、浮点指令和SIMD指令都有各自的指令系统。最为复杂的变化是当操作数为寄存器或内存的时候,之所以把它们放在一起,是因为它们都由一个叫做模数(MOD)的两位二进制数来决定。计算机指令是如何分辨多变的操作数的呢?前面提到,如果操作数是立即数,那么就用操作码来区分。当操作数是寄存器或是内存地址时,主要是用一个字节来区分,这个字节的前两位就是模数(MOD),后三位是寄存器的二进制代码,最后三位的值由开始两位的模数来决定具体的类型,如果模数为11那么最后三位就用来表示寄存器。内存地址是用寄存器的值来表示的,有的内存地址带有位移...

1、当您付费下载文档后,您只拥有了使用权限,并不意味着购买了版权,文档只能用于自身使用,不得用于其他商业用途(如 [转卖]进行直接盈利或[编辑后售卖]进行间接盈利)。
2、本站所有内容均由合作方或网友上传,本站不对文档的完整性、权威性及其观点立场正确性做任何保证或承诺!文档内容仅供研究参考,付费前请自行鉴别。
3、如文档内容存在违规,或者侵犯商业秘密、侵犯著作权等,请点击“违规举报”。

碎片内容

大全指令二进制代码手册

您可能关注的文档

确认删除?
VIP
微信客服
  • 扫码咨询
会员Q群
  • 会员专属群点击这里加入QQ群
客服邮箱
回到顶部