电脑桌面
添加小米粒文库到电脑桌面
安装后可以在桌面快捷访问

高中英语Unit1 Building the future--Background information[ty]牛津版选修10VIP免费

高中英语Unit1 Building the future--Background information[ty]牛津版选修10_第1页
1/11
高中英语Unit1 Building the future--Background information[ty]牛津版选修10_第2页
2/11
高中英语Unit1 Building the future--Background information[ty]牛津版选修10_第3页
3/11
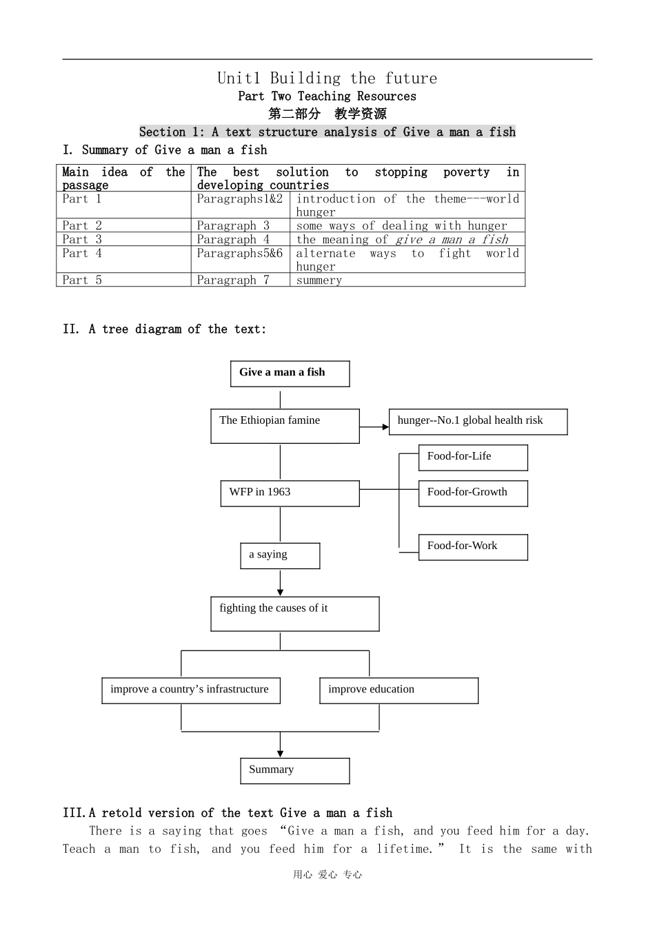
Unit1BuildingthefuturePartTwoTeachingResources第二部分教学资源Section1:AtextstructureanalysisofGiveamanafishI.SummaryofGiveamanafishII.Atreediagramofthetext:III.AretoldversionofthetextGiveamanafishThereisasayingthatgoes“Giveamanafish,andyoufeedhimforaday.Teachamantofish,andyoufeedhimforalifetime.”Itisthesamewith用心爱心专心MainideaofthepassageThebestsolutiontostoppingpovertyindevelopingcountriesPart1Paragraphs1&2introductionofthetheme---worldhungerPart2Paragraph3somewaysofdealingwithhungerPart3Paragraph4themeaningofgiveamanafishPart4Paragraphs5&6alternatewaystofightworldhungerPart5Paragraph7summeryGiveamanafishnatureTheEthiopianfaminehunger--No.1globalhealthriskFood-for-GrowthWFPin1963improveeducationfightingthecausesofitimproveacountry’sinfrastructureFood-for-LifeasayingFood-for-WorkSummaryhelpingdevelopingcountries.AlthoughtheWPFhashelpedmorethanonebillionpeoplesinceitwassetupthroughmanyprogrammes,itisnotenoughtosolvetheNo.1globalhealthrisk:hunger.Besidesfoodaid,developmentaidisneededtofinallyendpoverty.ⅣTranslationofreadingandprojectReading授人以鱼1985年,埃塞俄比亚几乎没有降雨,这导致收成损毁,牛蓄死亡。这场灾难的严重性让爱尔兰音乐家鲍勃-格尔多夫震惊,他组织了一场名为“现场援助”的慈善音乐会,为埃塞俄比亚饥荒受难者募集资金。1985年7月13日,音乐会在伦敦和费城两地举行,出席者包括了当时最红的巨星。格尔多夫想通过音乐会为饥荒筹钱,并提高公众对饥荒的意识。最后,筹集到了一亿美元,这些钱作为食品援助和饥荒救济基金发放出去。音乐会还受到了全世界的极大关注,这给政客们施加了巨大压力,迫使他们为这次饥荒做一些事情。埃塞俄比亚饥荒是在1985年,但对许多发展中国家的人来说,疾病和贫困仍是严重的问题。例如,疟疾通过蚊子传播,每年都导致超过一百万的儿童的死亡。除此以外,根据联合国的资料,饥饿和营养不良每年夺走一千万人的生命。事实上,饥饿是全球头号健康威胁,致死的人比任何疾病都要多。为了抗击世界各地的饥荒,联合国于1963年成立了世界粮食计划署(WFP)。世界粮食计划署已经组织了若干项目,包括:挽救生命粮食计划——该计划为处于危机时刻的国家送去紧急粮食援助;健康成为粮食计划——它主要以身处危险中的人作为目标,例如婴儿、孕妇和老年人,并教导他们有关营养的知识;帮助失业的人们维持生计的以工贷赈计划——通过给他们工作,用事物援助支付他们的工资。通过这样的计划,世界粮食计划署从其建立起,已经帮助了十亿多人。勿须置疑,这是惊人的成就,但是这就足够了吗?今天,非洲、亚洲和南美洲的一些发展中国家正处于关键时刻。当前,它们正在发展,但同样地,它们可能更远远地落后于发达国家。它们需要帮助,但不幸的事实是仅有食物援助对帮助这些国家是不够的。那仅仅是一个长期问题的短期解决办法。有句俗语是这样说的:“授人以鱼,三餐之需;授人以渔,终生之用。”如果发展中国家从进口粮食过渡到生产粮食,它们就是得到“渔”而不是“鱼”了。发展中国家真正需要做的就是通过与贫困的根源做斗争来消灭贫困。这样做的方法之一就是改善一国的基础设施。一国的基础设施就是让一切平稳运作的设施,包括交通、灌溉、电力、邮政服务、电话和学校等。这些事业如果发展起来,就会为人们创造就业机会,使得他们可以帮助自己而不用依赖他人。很显然,发展援助和食品援助结合起来才是贫困问题的长期解决办法。需要记住的另一件重要事情就是发展中国家的未来存在于孩子们的手中。这就是为什么年轻人的教育和培养如此重要。有很多这样的成功例子,比如在阿富汗,男性一般是养家糊口的主力,然而家庭主妇和寡妇们现在也开始学习缝制衣服,这些衣服可以出售,也可以供自己家庭穿。在尼日利亚东部,年轻人接受培训,学习使用电脑技术来发展他们的解决问题和沟通的技能。在南非,一项社区计划为失业的人和无家可归的人提供培训和资源...

1、当您付费下载文档后,您只拥有了使用权限,并不意味着购买了版权,文档只能用于自身使用,不得用于其他商业用途(如 [转卖]进行直接盈利或[编辑后售卖]进行间接盈利)。
2、本站所有内容均由合作方或网友上传,本站不对文档的完整性、权威性及其观点立场正确性做任何保证或承诺!文档内容仅供研究参考,付费前请自行鉴别。
3、如文档内容存在违规,或者侵犯商业秘密、侵犯著作权等,请点击“违规举报”。

碎片内容

高中英语Unit1 Building the future--Background information[ty]牛津版选修10

您可能关注的文档

星河书苑+ 关注
实名认证
内容提供者

从事历史教学,热爱教育,高度负责。

相关文档

确认删除?
VIP
微信客服
  • 扫码咨询
会员Q群
  • 会员专属群点击这里加入QQ群
客服邮箱
回到顶部