电脑桌面
添加小米粒文库到电脑桌面
安装后可以在桌面快捷访问

(课标专用)天津市高考数学二轮复习 题型练3 大题专项(一)三角函数、解三角形综合问题-人教版高三数学试题VIP专享VIP免费

(课标专用)天津市高考数学二轮复习 题型练3 大题专项(一)三角函数、解三角形综合问题-人教版高三数学试题_第1页
1/6
(课标专用)天津市高考数学二轮复习 题型练3 大题专项(一)三角函数、解三角形综合问题-人教版高三数学试题_第2页
2/6
(课标专用)天津市高考数学二轮复习 题型练3 大题专项(一)三角函数、解三角形综合问题-人教版高三数学试题_第3页
3/6
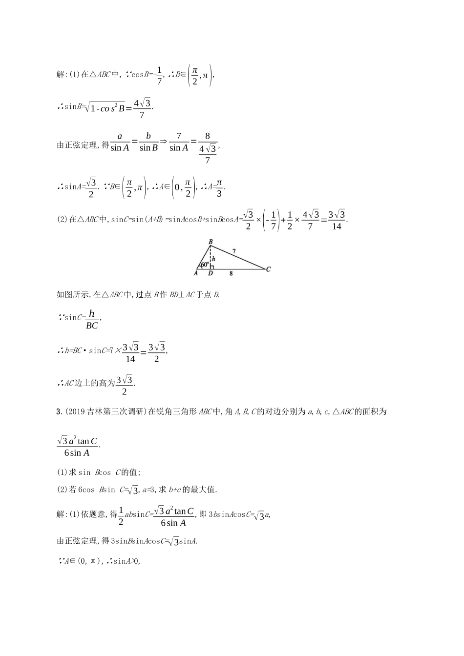
题型练3大题专项(一)三角函数、解三角形综合问题题型练第54页1.(2019全国Ⅲ,理18)△ABC的内角A,B,C的对边分别为a,b,c.已知asinA+C2=bsinA.(1)求B;(2)若△ABC为锐角三角形,且c=1,求△ABC面积的取值范围.解:(1)由题设及正弦定理得sinAsinA+C2=sinBsinA.因为sinA≠0,所以sinA+C2=sinB.由A+B+C=180°,可得sinA+C2=cosB2,故cosB2=2sinB2cosB2.因为cosB2≠0,故sinB2=12,因此B=60°.(2)由题设及(1)知△ABC的面积S△ABC=√34a.由正弦定理得a=csinAsinC=sin(120°-C)sinC=√32tanC+12.由于△ABC为锐角三角形,故0°0,∴sinBcosC=√33.(2)∵sinA=sin(B+C)=sinBcosC+cosBsinC,∴sinA=√33+√36=√32.∵A为锐角,∴cosA=12,由余弦定理,得9=b2+c2-2bc×12,即9+3bc=(b+c)2,∴(b+c)2≤9+3×(b+c2)2,整理得14(b+c)2≤9,即b+c≤6,当且仅当b=c=3时取等号.故b+c的最大值为6.4.已知函数f(x)=4tanxsin(π2-x)cos(x-π3)−√3.(1)求f(x)的定义域与最小正周期;(2)讨论f(x)在区间[-π4,π4]上的单调性.解:(1)f(x)的定义域为{x|x≠π2+kπ,k∈Z}.f(x)=4tanxcosxcos(x-π3)−√3=4sinxcos(x-π3)−√3=4sinx(12cosx+√32sinx)−√3=2sinxcosx+2√3sin2x-√3=sin2x+√3(1-cos2x)-√3=sin2x-√3cos2x=2sin(2x-π3),所以,f(x)的最小正周期T=2π2=π.(2)令z=2x-π3,函数y=2sinz的单调递增区间是[-π2+2kπ,π2+2kπ],k∈Z.由-π2+2kπ≤2x-π3≤π2+2kπ,得-π12+kπ≤x≤5π12+kπ,k∈Z.设A=[-π4,π4],B={x|-π12+kπ≤x≤5π12+kπ,k∈Z},易知A∩B=[-π12,π4].所以,当x∈[-π4,π4]时,f(x)在区间[-π12,π4]上单调递增,在区间-π4,-π12上单调递减.5.已知函数f(x)=√3acos2ωx2+12asinωx-√32a(ω>0,a>0)在一个周期内的图象如图所示,其中点A为图象上的最高点,点B,C为图象与x轴的两个相邻交点,且△ABC是边长为4的正三角形.(1)求ω与a的值;(2)若f(x0)=8√35,且x0∈(-103,23),求f(x0+1)的值.解:(1)由已知可得f(x)=a(√32cosωx+12sinωx)=asin(ωx+π3).∵BC=T2=4,∴T=8,∴ω=2π8=π4.由题图可知,正三角形ABC的高即为函数f(x)的最大值a,得a=√32BC=2√3.(2)由(1)知f(x0)=2√3sin(π4x0+π3)=8√35,即sin(π4x0+π3)=45.∵x0∈(-103,23),∴π4x0+π3∈(-π2,π2),∴cos(π4x0+π3)=√1-(45)2=35,∴f(x0+1)=2√3sin(π4x0+π4+π3)=2√3sin[(π4x0+π3)+π4]=2√3sinπ4x0+π3cosπ4+cosπ4x0+π3sinπ4=2√3×(45×√22+35×√22)=7√65.6.在平面直角坐标系xOy中,已知向量m=(√22,-√22),n=(sinx,cosx),x∈(0,π2).(1)若m⊥n,求tanx的值;(2)若m与n的夹角为π3,求x的值.解:(1)∵m=(√22,-√22),n=(sinx,cosx),且m⊥n,∴m·n=(√22,-√22)·(sinx,cosx)=√22sinx-√22cosx=sin(x-π4)=0.又x∈(0,π2),∴x-π4∈(-π4,π4).∴x-π4=0,即x=π4.∴tanx=tanπ4=1.(2)由(1)和已知,得cosπ3=m·n|m|·|n|=sin(x-π4)√(√22)2+(-√22)2·√sin2x+cos2x=sin(x-π4)=12.又x-π4∈(-π4,π4),∴x-π4=π6,即x=5π12.

1、当您付费下载文档后,您只拥有了使用权限,并不意味着购买了版权,文档只能用于自身使用,不得用于其他商业用途(如 [转卖]进行直接盈利或[编辑后售卖]进行间接盈利)。
2、本站所有内容均由合作方或网友上传,本站不对文档的完整性、权威性及其观点立场正确性做任何保证或承诺!文档内容仅供研究参考,付费前请自行鉴别。
3、如文档内容存在违规,或者侵犯商业秘密、侵犯著作权等,请点击“违规举报”。

碎片内容

(课标专用)天津市高考数学二轮复习 题型练3 大题专项(一)三角函数、解三角形综合问题-人教版高三数学试题

确认删除?
VIP
微信客服
  • 扫码咨询
会员Q群
  • 会员专属群点击这里加入QQ群
客服邮箱
回到顶部