电脑桌面
添加小米粒文库到电脑桌面
安装后可以在桌面快捷访问

4 汽车燃料经济性VIP免费

4 汽车燃料经济性_第1页
1/8
4 汽车燃料经济性_第2页
2/8
4 汽车燃料经济性_第3页
3/8
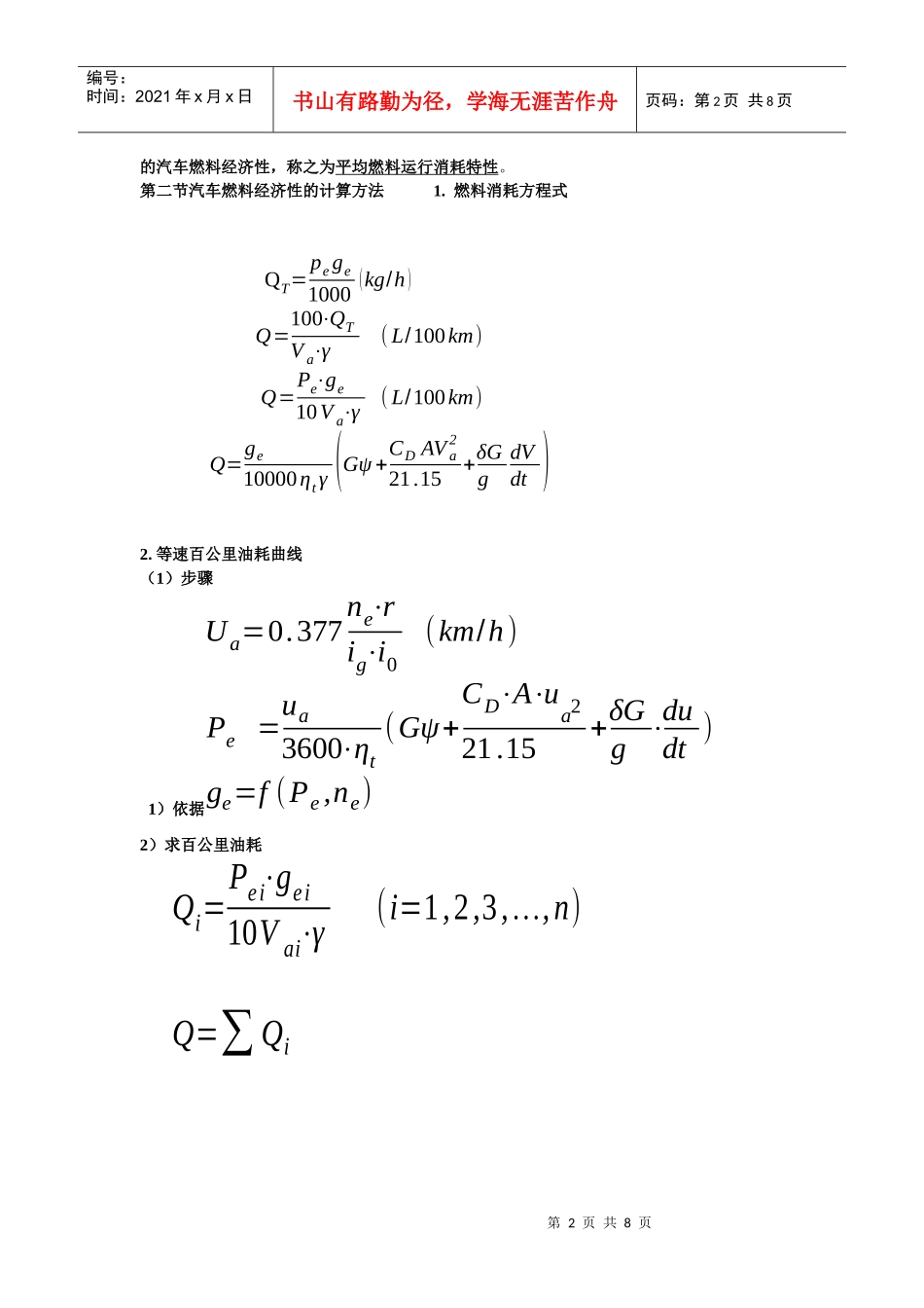
第1页共8页编号:时间:2021年x月x日书山有路勤为径,学海无涯苦作舟页码:第1页共8页4汽车燃料经济性4.1汽车燃料经济性评价指标4.2汽车燃料经济性计算4.3影响汽车燃油经济性的结构因素汽车使用经济性汽车使用经济性是一种使用性能,是指汽车为完成单位运输量所支付最少费用的能力。它是评价汽车运输企业经营经济效果的综合性指标。我国营运汽车的平均运输成本中,汽车运行材料费(燃料费、润滑油、轮胎费等)所占比率最大(40%以上)。其消耗和节约的研究,对提高汽车使用经济性具有重要作用。2.1汽车燃油经济性指标在当前和今后相当长的一段时期,汽车燃料仍将以石油产品为主。例如,西欧工业发达国家交通运输消耗石油产品的34~45%;美国交通运输部门消耗国内石油产品的52%;我国的交通运输和邮电通讯业消耗的石油产品约占其总量的16%,每年消耗的汽油占其总消耗量的36%,柴油约占27%。2000年我国汽车运输用油料缺口约2000万吨,汽车用汽油和柴油缺口分别达25%和60%。汽车运输油耗占运输成本的20%以上。采用燃油附加费改代原有养路费征稽,是和国际惯例接轨的重大举措,有利于我国运输车辆总体提高效益。但是与按车型征收规定养路费相比,征收燃油附加费的办法使得专业运输车辆的燃料成本大幅度增加。据某地区统计,改收燃油附加费同原有的养路费相比成本增加37.5%~44.5%,甚至高达60%以上。实行养路费、过路费、过桥费和运管费四费用燃油附加费替代后,某省汽运公司燃料附加费率达60%,增加支出1320万元。出租公司原缴纳养路费220元/车,改为燃料附加费后费用增至1170元/车,仅此项就增加费用4.3倍。燃油附加费代替养路费后,必将推动汽车更新和换代的速度。所以,节约燃料就意味着汽车运输成本的降低,经济效益的提高。显然,研究汽车燃料经济性对汽车节能的意义重大,例如,同1970年相比,1993年美国汽车平均油耗下降了33%。为此,世界各国都把降低汽车能耗(3L/100km)作为一项基本国策,并成为汽车制造业和交通运输行业的重要课题汽车燃油经济性:指汽车以最少的燃料消耗完成单位运输工作量的能力,它是汽车使用的主要性能之一。汽车发动机的燃油经济性:通常由有效燃料消耗率be(ge)或有效效率ηe来评价。因其不能反映发动机在具体汽车上的功率利用情况及行驶条件的影响,所以,它不能直接用于评价整车的燃料经济性。评价指标①常选取单位行程的燃料消耗量,即L/100km,或单位运输工作的燃料消耗量,即L/100tkm、L/kpkm。前者用于比较相同容量的汽车燃料经济性,也可用于分析不同部件(如发动机、传动系等)装在同一种汽车上对汽车燃料经济性的影响;后者常用于比较和评价不同容载量的汽车燃料经济性。其数值越大,汽车燃料经济性越差。②汽车燃料经济性也可用单位量燃料消耗汽车所经过的行程,即km/L作为评价指标,称为汽车经济性因数。例如,美国采用每加仑燃料能行驶的英里数,即MPG或mile/USgal。其数值越大,汽车燃料经济性越好。由于汽车在使用过程中,载荷和道路条件对汽车燃料的消耗影响很大,也可采用燃料消耗量Q(单位为L/100km)与有效载荷G(单位为t)之间的关系曲线,评价在不同道路条件下第2页共8页第1页共8页编号:时间:2021年x月x日书山有路勤为径,学海无涯苦作舟页码:第2页共8页的汽车燃料经济性,称之为平均燃料运行消耗特性。第二节汽车燃料经济性的计算方法1.燃料消耗方程式2.等速百公里油耗曲线(1)步骤1)依据Ua=0.377ne⋅rig⋅i0(km/h)Pe=ua3600⋅ηt(Gψ+CD⋅A⋅ua221.15+δGg⋅dudt)ge=f(Pe,ne)2)求百公里油耗Qi=Pei⋅gei10Vai⋅γ(i=1,2,3,…,n)Q=∑QiQT=pege1000(kg/h)Q=100⋅QTVa⋅γ(L/100km)Q=Pe⋅ge10Va⋅γ(L/100km)Q=ge10000ηtγ(Gψ+CDAVa221.15+δGgdVdt)第3页共8页第2页共8页编号:时间:2021年x月x日书山有路勤为径,学海无涯苦作舟页码:第3页共8页2等速百公里耗油曲线书上(3)分析等速百公里油耗曲线变化规律①UaUQ:当Ua增加时,Pe增大,Q增大;同时,负荷率增大,be减小,使Q减小。因前者起主导作用,故Q增大。③...

1、当您付费下载文档后,您只拥有了使用权限,并不意味着购买了版权,文档只能用于自身使用,不得用于其他商业用途(如 [转卖]进行直接盈利或[编辑后售卖]进行间接盈利)。
2、本站所有内容均由合作方或网友上传,本站不对文档的完整性、权威性及其观点立场正确性做任何保证或承诺!文档内容仅供研究参考,付费前请自行鉴别。
3、如文档内容存在违规,或者侵犯商业秘密、侵犯著作权等,请点击“违规举报”。

碎片内容

4 汽车燃料经济性

您可能关注的文档

确认删除?
VIP
微信客服
  • 扫码咨询
会员Q群
  • 会员专属群点击这里加入QQ群
客服邮箱
回到顶部