电脑桌面
添加小米粒文库到电脑桌面
安装后可以在桌面快捷访问

有理数混合运算专项练习350题有答案VIP免费

有理数混合运算专项练习350题有答案_第1页
1/81
有理数混合运算专项练习350题有答案_第2页
2/81
有理数混合运算专项练习350题有答案_第3页
3/81
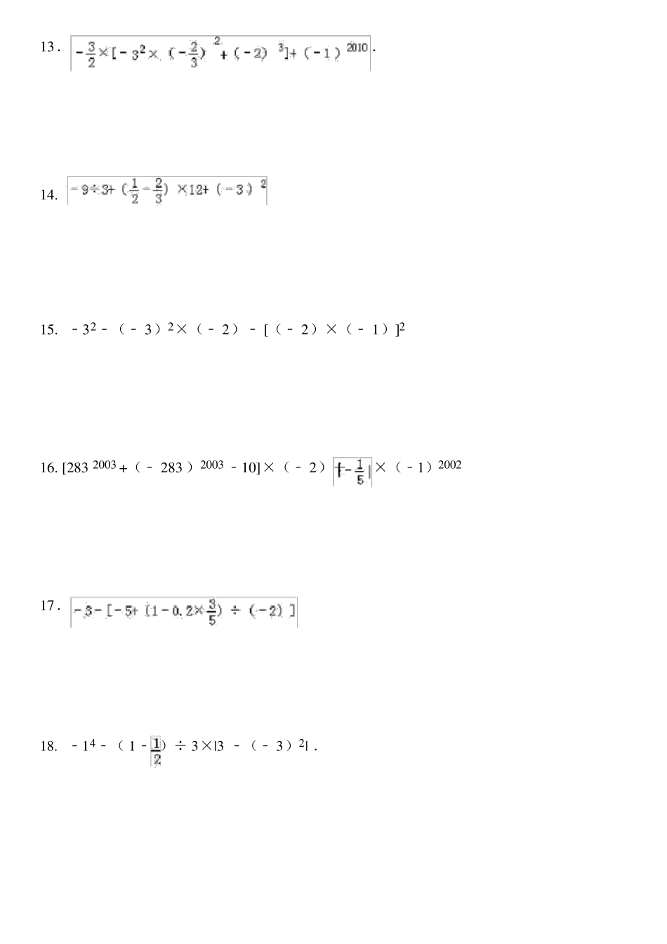
有理数专项练习350题(有答案)1.(﹣1)×2+(﹣2)÷4.232..3..4.﹣14﹣×〔2﹣(﹣3)2〕×(﹣5.(﹣2)3+(﹣3)×[(﹣4)6.﹣22﹣÷(﹣2)32)32+2]﹣(﹣)2÷(﹣2)37.(﹣1)2+[20﹣(﹣2)3]÷(﹣4)8..9..10.11..12.18×()﹣(﹣24)×()13..14.15.﹣32﹣(﹣3)2×(﹣2)﹣[(﹣2)×(﹣1)16.[2832003+(﹣283)2003﹣10]×(﹣2)÷×(﹣17.18.﹣14﹣(1﹣)÷3×|3﹣(﹣3)2|.]21)200219.(﹣2)2+{6﹣(﹣3)×2}÷4﹣5÷×20.21.﹣3÷3+(﹣)×12﹣(﹣1)22010;22..;23.;24.;25..26.27..28.;29.;30.31.32..;33.﹣32+(﹣3)2+(﹣5)2×(﹣)﹣÷34.(﹣2×5)3﹣(﹣1)×(﹣)2﹣(﹣35.1×﹣(﹣)×2+(﹣)÷136.﹣22+(﹣2)4×()3﹣||÷(﹣).|﹣|.)2.237.(﹣+)×18+×6﹣×6..38.39..40.[(﹣1)2005+(﹣﹣)×24]÷|﹣32+5|.41.[2﹣(+﹣)×24]÷5×(﹣1)200942.﹣14﹣[﹣2+(1﹣÷)×(﹣3)].43.44..45.﹣5+[﹣﹣(1﹣÷)×(﹣3)2]46.﹣10+8÷(﹣2)2﹣(﹣4)×(﹣3);;47.48.3×(﹣1)10+(﹣22)×|(﹣2)3|÷4÷2﹣|(﹣3)2|÷(﹣3)2×(﹣1)11;49.;.50.51.[1]×24]÷(﹣5);52.(﹣10)+8×(﹣2)2﹣(﹣4)×(﹣3);53.﹣÷(﹣)3+(﹣)×(﹣1)10;2254.﹣3×(﹣)﹣4×(1﹣)﹣8÷();55.(﹣2)3﹣1×(﹣)﹣(﹣2)×(﹣;56.;57.58.﹣24+|6﹣10|﹣3×(﹣1)2009.)×(﹣4).159.|﹣|+;60.(﹣13)+(+12)+(﹣7)+(+38);;61.62.(+163)﹣[(+63)+(﹣259)+(﹣41)].;63.;64..65.66.﹣2﹣(﹣2)+(﹣2)+(﹣2)﹣32223267.22+(﹣4)+(﹣2)+4;68.(﹣8)+(+)﹣(﹣9)+(﹣);;69.70.(﹣)÷(﹣﹣);71.﹣9÷;72.﹣1﹣×[2﹣(﹣3)].4273.74.75.76.﹣1×[﹣3×42﹣2]×(﹣).77.﹣32﹣(﹣3)2+32×(﹣1)2006;78..79..80.81.82.33×(﹣2)2﹣(﹣3)3×(﹣2)383.84..85.(3)÷(1)××|2|÷|3|.86.1+35+79+11⋯1997+1999;87.11+121314+15+161718+⋯+99+100;88.1991×19991990×2000;89.472634+472635472633×472635472634×472636;2290.91.1+4+7+⋯+244;1+92.93.1.94.22(1)2001×()÷+(3)295.;96.97.98.﹣5﹣22÷[(﹣)2+3×(﹣)]÷(﹣22)99.(﹣3)+(+2)﹣(+2)﹣(﹣7);100.﹣2÷×3;101.[+()]×(36);102.(+)÷()×(1);42103.1(1)××[2(3)].104.(23+1)÷(1).105.+++⋯+.106.14+〔1(1×)〕×|2(3)2|.107.108.﹣12008﹣[5×(﹣2)﹣(﹣4)2÷(﹣8)]109.110.;111.[2﹣(﹣3)2]×[(﹣1)2008﹣(1﹣×)]112.113.0﹣21114.115.116.﹣23÷×(﹣)2+(﹣)×5×(﹣)117.﹣32+5×(﹣)﹣(﹣4)2÷(﹣8)118.;119..120.﹣16;﹣121.122.﹣÷÷(﹣1)100+(1+2﹣)×12123.124.125.2﹣3﹣5+(﹣3)25﹣(﹣+﹣)÷126.127.﹣22+(﹣3)×[(﹣4)2+128.(﹣5)﹣(+3)+(﹣9)﹣(﹣129.10﹣23+32﹣17﹣21+45;2)3]﹣(﹣7)+;3)2÷(﹣)(﹣2130.(﹣3)+(+2)﹣(+2)﹣(﹣7);131.﹣﹣()﹣(﹣3)+6+(+);132.+﹣12﹣11﹣51;133..134.[212﹣(38+16﹣34)×24]÷5×(﹣135.1)2001136.;137.()×(﹣36).138.139.140.141.20)+(+3)﹣(﹣+6)+(﹣5)﹣(﹣13×﹣×+×(﹣)×(﹣)×(﹣5)﹣(+7);4)+(+2)+)﹣×;)×(﹣4)3;1)﹣(+1);(﹣((﹣﹣13(﹣5142.(﹣3)3÷2×+4﹣2×(﹣);143.﹣1﹣(﹣)÷×[﹣2﹣(﹣3)]﹣|﹣|.63144.0﹣1﹣(﹣1)+(﹣)××0﹣|﹣5|+5.43145..146.1+.147.;148..149.150.[53﹣4×(﹣5)2﹣(﹣1)10]÷(﹣24﹣24+24).151.﹣3+27÷(﹣3)﹣(﹣)2×|﹣22|﹣(﹣1)200722152.;153..154.[47﹣(﹣1÷)×2]÷155.156.(﹣157.105)×﹣178×﹣×(﹣178)23)﹣(+59)+(﹣35)+|﹣5﹣32|;﹣(﹣158.1﹣[(﹣5)2×﹣]÷2×(﹣1+).159.﹣÷×(﹣)×+(﹣2)3160.161.162.(...

1、当您付费下载文档后,您只拥有了使用权限,并不意味着购买了版权,文档只能用于自身使用,不得用于其他商业用途(如 [转卖]进行直接盈利或[编辑后售卖]进行间接盈利)。
2、本站所有内容均由合作方或网友上传,本站不对文档的完整性、权威性及其观点立场正确性做任何保证或承诺!文档内容仅供研究参考,付费前请自行鉴别。
3、如文档内容存在违规,或者侵犯商业秘密、侵犯著作权等,请点击“违规举报”。

碎片内容

有理数混合运算专项练习350题有答案

您可能关注的文档

确认删除?
VIP
微信客服
  • 扫码咨询
会员Q群
  • 会员专属群点击这里加入QQ群
客服邮箱
回到顶部