电脑桌面
添加小米粒文库到电脑桌面
安装后可以在桌面快捷访问

最新公差与配合标准表VIP免费

最新公差与配合标准表_第1页
1/7
最新公差与配合标准表_第2页
2/7
最新公差与配合标准表_第3页
3/7
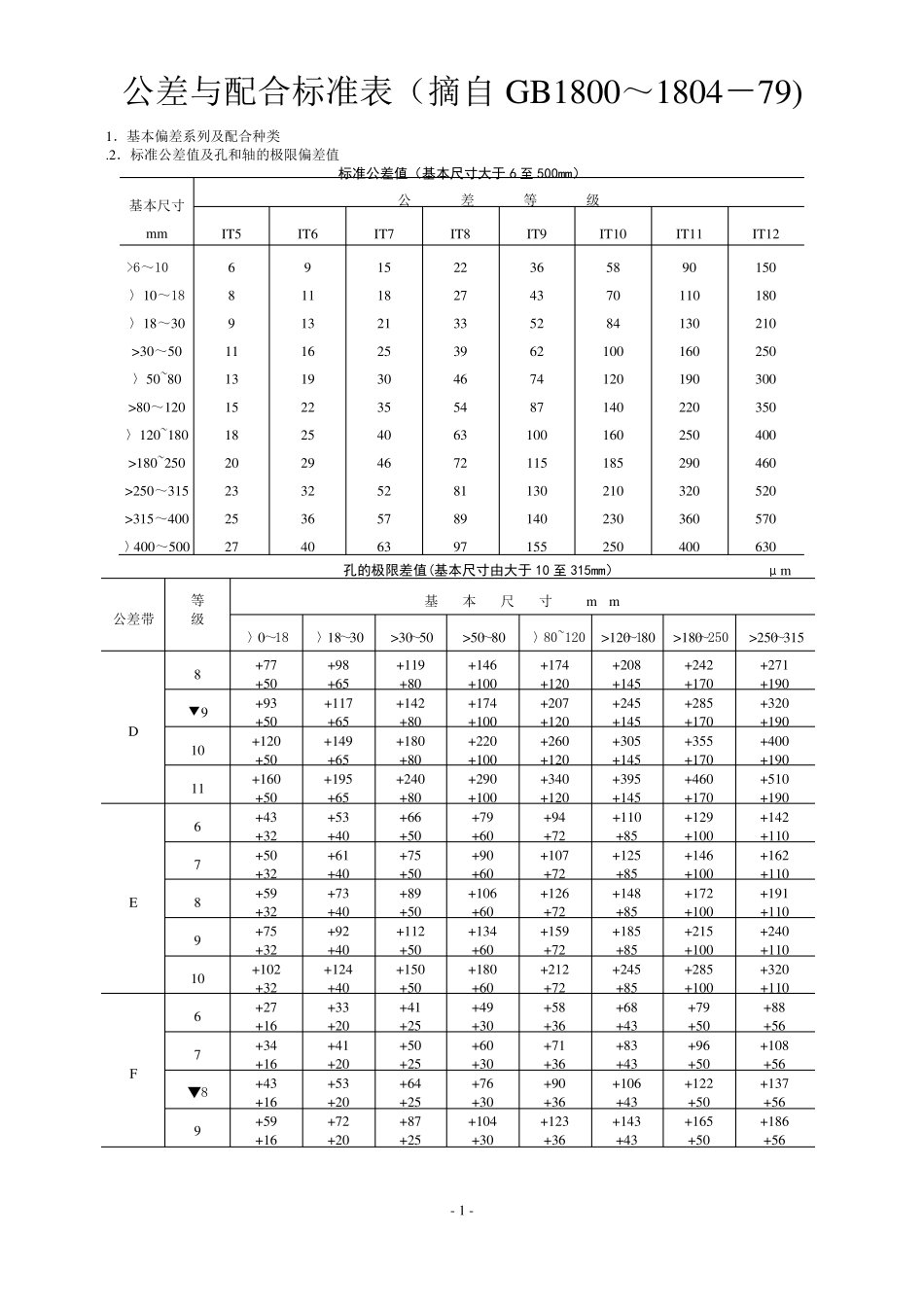
公差与配合标准表(摘自GB1800~1804-79)1.基本偏差系列及配合种类.2.标准公差值及孔和轴的极限偏差值标准公差值(基本尺寸大于6至500mm)基本尺寸mm>6~10〉10~18〉18~30>30~50〉50~80>80~120〉120~180>180~250>250~315>315~400〉400~500IT56891113151820232527IT6911131619222529323640公差等级IT71518212530354046525763IT82227333946546372818997IT9364352627487100115130140155IT10587084100120140160185210230250IT1190110130160190220250290320360400IT12150180210250300350400460520570630孔的极限差值(基本尺寸由大于10至315mm)μm等级8▼9D101167E891067F▼89基〉0~18+77+50+93+50+120+50+160+50+43+32+50+32+59+32+75+32+102+32+27+16+34+16+43+16+59+16〉18~30+98+65+117+65+149+65+195+65+53+40+61+40+73+40+92+40+124+40+33+20+41+20+53+20+72+20>30~50+119+80+142+80+180+80+240+80+66+50+75+50+89+50+112+50+150+50+41+25+50+25+64+25+87+25本尺寸〉80~120+174+120+207+120+260+120+340+120+94+72+107+72+126+72+159+72+212+72+58+36+71+36+90+36+123+36mm>120~180+208+145+245+145+305+145+395+145+110+85+125+85+148+85+185+85+245+85+68+43+83+43+106+43+143+43>180~250+242+170+285+170+355+170+460+170+129+100+146+100+172+100+215+100+285+100+79+50+96+50+122+50+165+50>250~315+271+190+320+190+400+190+510+190+142+110+162+110+191+110+240+110+320+110+88+56+108+56+137+56+186+56公差带>50~80+146+100+174+100+220+100+290+100+79+60+90+60+106+60+134+60+180+60+49+30+60+30+76+30+104+30-1-公差带等级6基〉0~18+110+180+270+430+700+1100+2-9+6-12+8-19-9-20-5-23-3-30-15-26-11-29〉18~30+130+210+330+520+840+1300+2-11+6-15+10-23-11-28-7-28-3-36-18-31-14-35>30~50+160+250+390+620+1000+1600+3-13+7-18+12-27-12-24-8-33-3-42-21-37-17-42本尺寸〉80~120+220+350+540+870+1400+2200+4-18+10-25+16-38-16-38-10-45-4-58-30-52-24-59mm>120~180+250+400+630+1000+1600+2500+4-21+12-28+20-43-20-45-12-52-4-67-36-61-28-68>180~250+290+460+720+1150+1850+2900+5-24+13-33+22-50-22-51-14-60-5-77-41-70-33-79>250~315+320+520+810+1300+2100+3200+5-27+16-36+25-56-25-57-14-66-5-86-47-79-36-88>50~80+190+300+460+740+1200+1900+4-15+9-21+14-32-14-33-9-39-4-50-26-45-21-51H▼7▼8▼910▼116K▼786N▼786P▼7轴的极限偏差(基本尺寸由于大于10至315mm)公差带等级基>10~18〉18~30>30~50本尺寸>80~120mm>120~180>180~250>250~315>50~80d678▼910-50-61-50-68-50-77-50-93-50-120-16-34-16-43-65-78-65-86-65-98-65-117-65-149-20-41-20-53-80-96-80-105-80-119-80-142-80-180-25-50-25-64-100-119-100-130-100-146-100-174-100-220-30-60-30-76-120-142-120-155-120-174-120-207-120-260-36-71-36-90-145-170-145-185-145-208-145-245-145-305-43-83-43-106-170-199-170-216-170-242-170-285-170-355-50-96-50-122-190-222-190-242-190-271-190-320-190-400-56-108-56-137f▼78-2-公差带等级基>10~18〉18~30>30~50本尺寸>80~120mm>120~180>180~250>250~315>50~809g5▼67h5▼6▼78▼9K5▼67M567N5▼67p5▼6-16-59-6-14-6-17-6-240—80-110—180—270—43+9+1+12+1+19+1+15+7+18+7+25+7+20+12+23+12+30+12+26+18+29+18-20-72-7-16-7-20-7-280—90—130—210—330-52+11+2+15+2+23+2+17+8+21+8+29+8+24+15+28+15+36+15+31+22+35+22-25-87-9-20-9-25-9-340—110—160—250-390—62+13+2+18+2+27+2+20+9+25+9+34+9+28+17+33+17+42+17+37+26+42+26-30-104-10-23-10-29-10-400—130-190—300-460—74+15+2+21+2+32+2+24+11+30+11+41+11+...

1、当您付费下载文档后,您只拥有了使用权限,并不意味着购买了版权,文档只能用于自身使用,不得用于其他商业用途(如 [转卖]进行直接盈利或[编辑后售卖]进行间接盈利)。
2、本站所有内容均由合作方或网友上传,本站不对文档的完整性、权威性及其观点立场正确性做任何保证或承诺!文档内容仅供研究参考,付费前请自行鉴别。
3、如文档内容存在违规,或者侵犯商业秘密、侵犯著作权等,请点击“违规举报”。

碎片内容

最新公差与配合标准表

您可能关注的文档

确认删除?
VIP
微信客服
  • 扫码咨询
会员Q群
  • 会员专属群点击这里加入QQ群
客服邮箱
回到顶部