电脑桌面
添加小米粒文库到电脑桌面
安装后可以在桌面快捷访问

备份森林火灾等数学建模VIP免费

备份森林火灾等数学建模_第1页
1/11
备份森林火灾等数学建模_第2页
2/11
备份森林火灾等数学建模_第3页
3/11
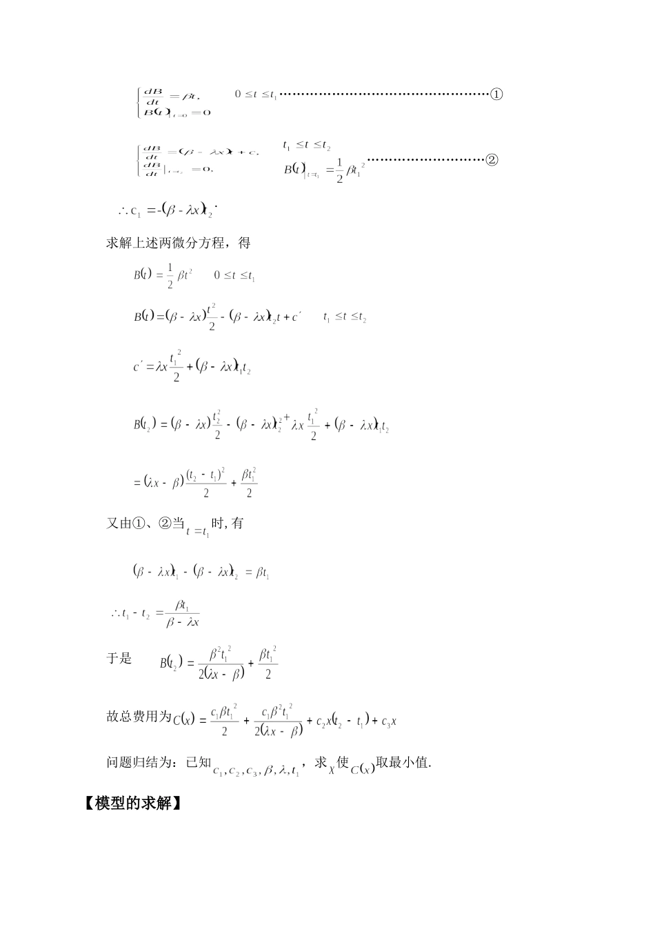
数学建模作业姓名:任晓学号:200913138036班级:软件工程0902班(一)测人体血量【问题的提出】通过某种方法测量人体内血液的总量。【问题的分析】首先,将酒精含量视为血药浓度,借用药物动力学的房室模型,将酒精在肠胃的吸收过程和在血液中的分解过程抽象为吸收室和中心室里所发生的作用,运用微分方程理论推导出了吸收速率和分解速率随时间变化的规律(,),并用回归分析方法结合题述经验数据具体导出一人在未喝过酒的情况下,饮入2瓶啤酒的血液中酒精含量与时间的关系模型。【模型的建立】假设人体的密度是均匀的,让某健康的人喝一定质量的酒精,并且假设酒精进入人体后马上均匀分布,并且血液和体液的酒精浓度是一样的。抽取此人V1ml的血液样本,用测量酒后驾驶测酒精含量的仪器测出样本中的酒精的浓度为假设为ng/ml。假设已知的酒精的密度为Pg/ml。V1/V=n/P;算出人体的血液的含量为V=V1*P/n;【结果分析】这只是个大约算出的血液含量不是很准确,但是估算基本上可以。(二)森林火灾【问题的提出】某森林发生火灾,接到报警后,消防站立即派出消防队员进行灭火,但具体派多少队员呢?派出的队员越多,森林的损失越小,但救援的开支会越大;反之森林的损失会加大,所以需要综合考虑森林损失费和救援费与消防队员人数之间的关系。【问题的分析】假设森林燃烧的损失费正比于森林烧毁面积,其比例系数为1c。而烧毁面积与失火、灭火时间有关,灭火时间又取决于消防队员数.救援费分为两部分:每个消防队员单位时间的费用,设为2c;每个队员的一次性支出,设为3c。又假定火势蔓延程度及平均每个消防队员的灭火能力与火势有关。进而解决派出消防队员多少时总费用(即损失费、救援费之和)最小。记失火时刻为,开始灭火时刻为,火被扑灭时刻为。设在时刻森林烧毁面积为,则森林最终烧毁面积为,并且。考虑单位时间烧毁面积,它表示火势蔓延程度。一般来说,在消防队员到达之前,即,火势越来越大,即随的增加而增加;开始灭火后,即如果消防队员灭火能力足够强,火势将越来越小,即应减小,并且当时。对于火势可抽象为:火势以失火点为中心,以均匀速度向四周呈圆形蔓延,所以蔓延的半径与时间成正比。又因为烧毁面积与成正比,故与成正比,从而与成正比。【模型假设】1.假设森林面积无限大,火势以失火点为中心,均匀速度向四周呈圆形蔓延,且时刻的森林烧毁面积为。2.设失火时刻为,开始灭火时刻为,火被扑灭时刻为,又设在内,火势蔓延程度与时间成正比,比例系数称为火势蔓延速度。3.设派出消防队员名,开始灭火后火势蔓延速度降为。这里可视为每个队员的平均灭火速度。【模型的建立】由于每个消防队员单位时间的费用为,而每个队员的一次性支出为,于是由条件知:又由假设2、3知:…………………………………………①………………………②.求解上述两微分方程,得+又由①、②当时,有于是故总费用为问题归结为:已知,求使取最小值.【模型的求解】将连续化令,解得【结果分析】1.关于的几何求解图形为:是图中阴影部分面积.而是图中三角形的面积.令,容易求得.2.最后的要取整(这是由于离散的连续化之故).3.结果表明:队员人数由两部分组成:一部分是灭火人数的最低限度:,此时斜率为的直线才会与轴有交点.另一部分是最低限度之上的人数,它与问题的各个参数有关,且可看出其变化规律.4.实际应用中,是已知常数,是森林类型有关的量,是队员素质有关的量,火势5.实际上,消防队员的灭火速度与开始灭火时的火势有关,可以合理地假设.(三)体育馆建设问题【问题的提出】某政府打算修建一个小型体育馆。通过竞标,一家建筑公司获得了此合同。书中的表中列出了工程的主要任务,需时均以星期记有些任务只有在某些其他任务完成之后才能进行,(1)试给出各项任务的施工次序,使得这项工程能尽早完成。(2)市政府希望能够再提前一些时间完工,为此,市政府决定工期每缩短一周,便向此公司支付30千元的奖励。为缩短工期,建筑公司每周需要支付额外费用。问如何施工才能使得建筑公司的利润最大?【问题的分析】此问题是一个调度问题,需要先完成某些任务才能进行下面的一些任务,这一特点构...

1、当您付费下载文档后,您只拥有了使用权限,并不意味着购买了版权,文档只能用于自身使用,不得用于其他商业用途(如 [转卖]进行直接盈利或[编辑后售卖]进行间接盈利)。
2、本站所有内容均由合作方或网友上传,本站不对文档的完整性、权威性及其观点立场正确性做任何保证或承诺!文档内容仅供研究参考,付费前请自行鉴别。
3、如文档内容存在违规,或者侵犯商业秘密、侵犯著作权等,请点击“违规举报”。

碎片内容

备份森林火灾等数学建模

您可能关注的文档

确认删除?
VIP
微信客服
  • 扫码咨询
会员Q群
  • 会员专属群点击这里加入QQ群
客服邮箱
回到顶部