电脑桌面
添加小米粒文库到电脑桌面
安装后可以在桌面快捷访问

(完整版)关系代词及关系副词选择练习VIP免费

(完整版)关系代词及关系副词选择练习_第1页
1/6
(完整版)关系代词及关系副词选择练习_第2页
2/6
(完整版)关系代词及关系副词选择练习_第3页
3/6
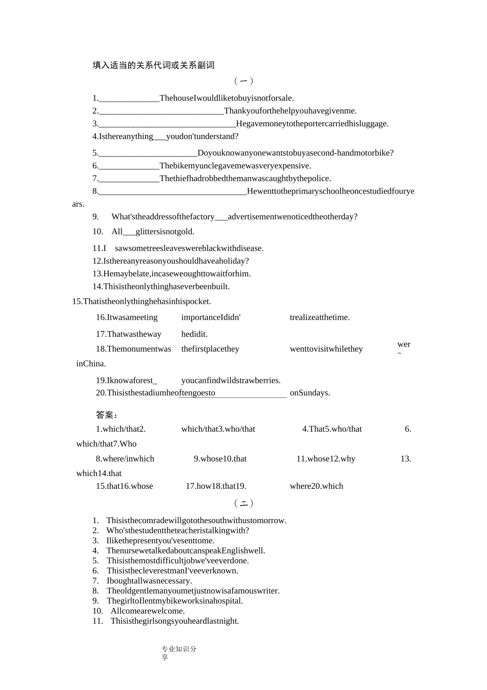
专业知识分享填入适当的关系代词或关系副词1.______________ThehouseIwouldliketobuyisnotforsale.2._____________________________Thankyouforthehelpyouhavegivenme.3.________________________________Hegavemoneytotheportercarriedhisluggage.4.Isthereanything___youdon'tunderstand?5._______________________Doyouknowanyonewantstobuyasecond-handmotorbike?6.______________Thebikemyunclegavemewasveryexpensive.7.______________Thethiefhadrobbedthemanwascaughtbythepolice.8.__________________________________Hewenttotheprimaryschoolheoncestudiedfouryears.9.What'stheaddressofthefactory___advertisementwenoticedtheotherday?10.All___glittersisnotgold.11.Isawsometreesleaveswereblackwithdisease.12.Isthereanyreasonyoushouldhaveaholiday?13.Hemaybelate,incaseweoughttowaitforhim.14.Thisistheonlythinghaseverbeenbuilt.15.Thatistheonlythinghehasinhispocket.16.ItwasameetingimportanceIdidn'trealizeatthetime.17.Thatwasthewayhedidit.18.ThemonumentwasthefirstplacetheywenttovisitwhiletheywereinChina.19.Iknowaforest_youcanfindwildstrawberries.20.ThisisthestadiumheoftengoestoonSundays.答案:1.which/that2.which/that3.who/that4.That5.who/that6.which/that7.Who8.where/inwhich9.whose10.that11.whose12.why13.which14.that15.that16.whose17.how18.that19.where20.which1.Thisisthecomradewillgotothesouthwithustomorrow.2.Who'sthestudenttheteacheristalkingwith?3.Ilikethepresentyou'vesenttome.4.ThenursewetalkedaboutcanspeakEnglishwell.5.Thisisthemostdifficultjobwe'veeverdone.6.ThisisthecleverestmanI'veeverknown.7.Iboughtallwasnecessary.8.Theoldgentlemanyoumetjustnowisafamouswriter.9.ThegirltoIlentmybikeworksinahospital.10.Allcomearewelcome.11.Thisisthegirlsongsyouheardlastnight.专业知识分享12.Shewasthebravegirlnameisknowntoeverybodyhere.13.Thankyouforthehelpyou'vedoneforme.14.Thisradiosetwehavehadfortwoyearsisagoodone.15.ThenextquestionIfounddifficulttoanswerwasputtomebyMary.1Thisisthebusgoestotherailwaystation.2Theflowersyougaveherwerebeautiful.3Thedoctorismyrelativeisawayonholiday.4Thedressyouarewearingislovely.5Wevisitedthetowninmymotherwasborn.6Thewriterwevisitedisveryfamous.7Shewasthefirstwomanwenttothemoon.8Themanwifeisafarmernowisthemanagerofthiscompany.9hewenttoworkinthevillagehewasbornin.10Pleasetellmethetimeweshallmeetagain.11Didhetellyouthereasonhewaslate?121982wastheyear-itrainedmuch.13IfoundmykeysinmyhandbagIhadleftthem.14Thisistherightplaceyoushouldstay.(四)1.Thisisthemanwantstoseeyou.2.ThestudentansweredthequestionisZhangHua.3.Themanyouwenttoseehascome.4.ThemanImetyesterdaylentmesomemoney.5.Thewomanyousawisourgeographyteacher.6.Therunneryouareaskingaboutisoverthere.专业知识分享ThepersonyoushouldwritetoisMr.Ball.Themanwaspassingbysawwhathappened.Hereisthepenyoulostthedaybeforeyesterday.Thesebooksyoulentmewereveryuseful.ThestorybookIhavejustreadcannotbeeasilyforgotten.Aclockisamachinetellspeoplethetime.ThisisshirtIboughtyesterday.Adictionaryisabookgivesthemeaningtotheword.Thebookisonthetableismine.Thefilmtheyaretalkingaboutisveryinteresting.IwillneverforgetthepeopleandtheplacesIhaveevervisited.IsthereanyonefamilyisinBeijing?Showmetheboymotherisawell-knownsinger.TheboyfatherisateacherisgoodatEnglish.IknowthepersoncompanyproducesnewmachinesSheistheengineerworkisconsideredtobethebesthere.Thisisthepersonstorysurprisedeverybody.Thewomansecretwasdiscoveredkeptherjobinthecompany.ThisistheboymotherteachesusChineseinourschoo...

1、当您付费下载文档后,您只拥有了使用权限,并不意味着购买了版权,文档只能用于自身使用,不得用于其他商业用途(如 [转卖]进行直接盈利或[编辑后售卖]进行间接盈利)。
2、本站所有内容均由合作方或网友上传,本站不对文档的完整性、权威性及其观点立场正确性做任何保证或承诺!文档内容仅供研究参考,付费前请自行鉴别。
3、如文档内容存在违规,或者侵犯商业秘密、侵犯著作权等,请点击“违规举报”。

碎片内容

(完整版)关系代词及关系副词选择练习

wxg+ 关注
实名认证
内容提供者

该用户很懒,什么也没介绍

相关文档

确认删除?
VIP
微信客服
  • 扫码咨询
会员Q群
  • 会员专属群点击这里加入QQ群
客服邮箱
回到顶部